0  424982  424990  424996  425000  425006  425008  425012  425018  425020  425026  425032  425036  425038  425042  425048  425050  425056  425060  425062  425066  425068  425072  425074  425076  425077  425078  425080  425081  425082  425084  425086  425090  425092  425096  425098  425102  425108  425110  425116  425120  425122  425126  425132  425138  425140  425146  425150  425152  425158  425162  425168  425176  447090 

1.下列词语中加点的字,每对的读音都不相同的一项是(   )

A.泊/窃   形/丽   灭/

B.散延   气/慷   舞/遮

C.磋/实   怀/纽   跌

D.幅/祸   泾叹   茫/

试题详情

25.(2005·江苏理科综合·31·5分)有机物A由碳、氢、氧三种元素组成。现取3g A与4.48L氧气(标准状况)在密闭容器中燃烧,燃烧后生成二氧化碳、一氧化碳和水蒸气(假设反应物没有剩余)。将反应生成的气体依次通过浓硫酸和碱石灰,浓硫酸增重3.6g,碱石灰增重4.4g。回答下列问题:

(1)3gA中所含氢原子、碳原子的物质的量各是多少?

(2)通过计算确定该有机物的分子式。

[参考答案]

(1)n(H)=2n(H2O)=0.4mol(1分)

n(C)=n(CO2)+n(CO)

(2)3 g A中,n(H)=0.4mol,n(C)=0.15mol,

n(O)=2n(CO2)+n(CO)+n(H2O)-2n(O2)

=2×0.1 mol+0.05 mol+0.2 mol-2×0.2 mol

=0.05mol   (1分)

所以,n(C)︰n(H)︰n(O)=3︰8︰1 A的分子式为C3H8O   (2分)

 

试题详情

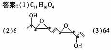
24.已知2一丁烯(CH3-CH=CH-CH3)可以简写为;又知与4个不同的原子或原子团相连接的碳原子叫做不对称碳原子,通常用星号标出(如:)。在有机化学中,还引入不饱和度,也称缺氢指数(用Ω表示)。分子中每减少2个氢原子(意味着分子中有1个双键或1个环)Ω=1。例如:2-丁烯的Ω=1;分子的Ω=4。据报道,最近有人第一次人工合成了一种有抗癌活性的化合物Depudecin,这种物质从真菌里分离出来,其结构简式如下:

(1)试写出这种化合物的化学式:               

(2)这个分子的结构里有几个不对称碳原子?           请在题目中给出的结构简式里用“*”把它们标记出来。

(3)如果每个不对称碳原子都可以出现2种异构体,这种抗癌分子将会有       种不同的异构体。

试题详情

23.某烃A 0.2mol在氧气中充分燃烧后,生成化合物B、C各1.2mol。试回答:(12分)

(1)烃A的分子式为                。(2分)

(2)若取一定量的烃A完全燃烧后,生成B、C各3mol,则有         g烃A参加了反应,燃烧时消耗标准状况下的氧气                 L。(4分)

(3)若烃A不能使溴水褪色,但在一定条件下,能与氯气发生取代反应,其一氯代物只有一

种,则此烃A的结构简式为                 。(2分)

(4)若烃A能使溴水褪色,在催化剂作用下,与氢气加成,其加成产物经测定分子中含有4

个甲基。烃A可能有的结构简式为                                 。(2分)

[参考答案](1)C6H12  (2)42 ,100.8  (3)

(4)

试题详情

22.CH3-C≡C-CH=CH2分子中最多有         个碳原子共线,      个碳原子共面;最少有        个原子共面,最多有        个原子共面。

解析:模型探究,画图分析:,答案:4,5,8,9。

试题详情

21.对位上有-C4H9 的苯胺可能有4种异构体,它们是               

                                                                  

试题详情

20.有机物的系统名称为                                 

[参考答案]3,4,4一三甲基一l一戊炔

试题详情

19.下列几种结构简式代表了             种不同的烃。

      

[参考答案]三

试题详情

18.1mol某烃在氧气中充分燃烧,需要消耗氧气179.2L(标准状况下)。它在光照的条件下与氯气反应能生成三种不同的一氯取代物。该烃的结构简式是            (      )

[参考答案]B,一氯取代物有三种的只有A、B,而与氧气充分燃烧之比为1:8则只能是B。

第Ⅱ卷(非选择题,共55分)

试题详情

17.已知互为同分异构体(顺反异构),则化学式为C3H5Cl的链状的同分异构体有                                            (      )

A.3种         B.4种             C.5种            D.6种

[参考答案]B,1-氯丙烯有顺反异构。

试题详情


同步练习册答案