0  429391  429399  429405  429409  429415  429417  429421  429427  429429  429435  429441  429445  429447  429451  429457  429459  429465  429469  429471  429475  429477  429481  429483  429485  429486  429487  429489  429490  429491  429493  429495  429499  429501  429505  429507  429511  429517  429519  429525  429529  429531  429535  429541  429547  429549  429555  429559  429561  429567  429571  429577  429585  447090 

3.《都城纪胜》记载:“酒楼歌馆,直至四股方静,而五鼓朝马将动,其有趁卖早市者,复起开张。”《梦梁录》记载:“自大街及诸坊巷,大小铺席。连门俱是,即无虚空之屋。”以上两段材料记载的商业状况最早出现的时间是                      (   )

    A.秦汉           B.隋唐          C.两宋           D.明清

试题详情

2.中国画是历史悠久的民族艺术。下列表述错误的是                       (   )

    A.图一是东晋顾恺之作品,体现了“以形写神“的风格

    B.图二体现唐代阎立本兼收井蓄,吸取外来美术的风格

    C.图三描绘了北宋商品经济繁荣的景象,具有写实风格

    D.图四表现了元代画家借物抒情、追求神韵的艺术特征

试题详情

1.《诗经》曰:“周虽旧邦,其命维新。”关于周人的“维新”,以下说法正确的有  (   )

    ①建立了完备的宗法制               ②实行了等级森严的分封制

    ③确立了尊卑分明的分明的礼制        ④创立了王位世袭制

    A.①②           B.③④          C.①②③         D.①②③④

试题详情

21.(12分)本题包括A、B两小题,分别对应于“物质结构与性质”和“实验化学”两个选修模块的内容。请选定其中一题,并在相应的答题区域内作答。若两题都做,则按A题评分。

    A.(12分)2010年上海世博会场馆,大量的照明材料或屏幕都使用了发光二极管(LED)。目前市售LED品片,材质基本以GaAs(砷化镓)、AlGaInP(磷化铝镓铟)、lnGaN(氮化铟镓)为主。砷化镓的品胞结构如右图。试回答:

  (1)镓的基态原子的电子排布式是       

  (2)砷化镓品胞中所包含的砷原子(白色球)个数为

       ,与同一个镓原子相连的砷原子构

成的空间构型为       

  (3)下列说法正确的是        (填字母)。

       A.砷化镓品胞结构与NaCl相同

       B.第一电离能:As>Ga

       C.电负性:As>Ga

       D.砷化镓晶体中含有配位键  

E.GaP与GaAs互为等电子体

  (4)N、P、As处于同一主族,其氢化物沸点由高到低的顺序是       

  (5)砷化镓可由(CH3)3Ga和AsH3在700℃时制得。(CH3)3Ga中镓原子的杂化方式为         。  

    B.(12分)乙酸乙酯的实验室和工业制法常采用如下反应:

浓硫酸
  △
 

CH3COOH+C2H5OH    CH3COOC2H5+H2O

    已知:①无水氯化钙可与乙醇形成难溶于水的CaCl2·6C2H5OH;

    ②部分有机物的沸点:

试剂
乙醚
乙醇
乙酸 
乙酸乙酯
沸点(℃)
34.5
78.5
117.9 
77

    请回答下列问题:

  (1)浓硫酸的作用是         ,球形干燥管的作用是    

  (2)用如图所示装置来制备少量的乙酸乙酯,产率往往偏低,其原因可能为     

     等。

  (3)实验所得到的乙酸乙酯中常含有一定量的乙醇、乙醚和水,应先加入无水氯化钙,除去       ;再进行蒸馏,收集77℃左右的馏分,以得到较纯净的乙酸乙酯。

  (4)目前对该反应的催化剂进行了新的探索,初步表明质子酸离子液体可用作此反应的催化剂,且能重复使用。实验数据如下表所示(乙酸和乙醇以等物质的量混合)。

同一反应时间
同一反应应温度
反应温度/℃
转化率(%)
选择性(%)*
反应时间/h
转化率(%)
选择性(%)*
40
77.8
100
2
80.2
100
60
92.3
100
3
87.8
100
80
92.6
100
4
92.3
100
120
94.5
98.7
6
93.0
100
*选择性100%表示反应生成的产物全部是乙酸乙酯和水

     ①根据表中数据,下列     (填字母)为该反应的最佳条件。

     a.120℃,4h    b.80℃,2h        c.60℃,4h         d.40℃,3h

②当反应温度达到120℃时,反应选抒性降低的原因可能为     

试题详情

20.(10分)硝酸是一种重要的化工原料,工业上生产硝酸的主要过程如下:

  (1)以N2和H2为原料合成氨气。一定温度下,在密闭容器中充入ImolN2和3molH2发生反应。若容器容积恒定,达到平衡状态时,气体的总物质的量是原来的,则N2的转化率     ;若容器压强恒定,达到平衡状态时,N=的转化率为,则     (‘填“>”、“<”或“=”)。

  (2)用氨催化氧化法可生产硝酸,其生产过程可表示为:

催化剂

 
 

     4NH3+5O2   4NO+6H2O   4NO+3O2+2H2O=4HNO3

     现以3.4吨液氨为原料来生产质量分数为50%的硝酸,理论上需要加水的质量为 

吨。(假设生产过程中反应物和生成物均无损耗)

  (3)硝酸工业生产中的尾气可用纯碱溶液吸收,有关的化学反应为:

     2NO2+Na2CO3=NaNO2+NaNO3+CO2,NO+NO2+Na2CO3=2NaNO2+CO2。若在标准状况下有NO、NO2的混合气体(不考虑N2O4)恰好与50mL 1.0 mol·L-1的Na2CO3溶液反应完全,且生成NaNO2和NaNO3的物质的量的比为4:1,则在混合气体中NO气体的体积分数为多少?(请写出计算过程)  

试题详情

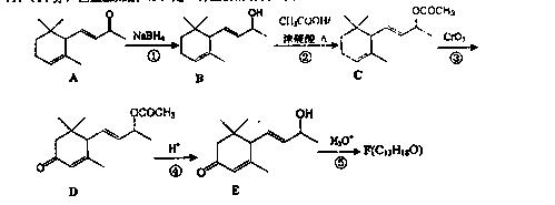
19.(14分)巨豆三烯酮(F)是一种重要的香料,其合成路线如下:

  (1)化合物C含有的官能团的名称为         。 

  (2)化合物F的结构简式是         

  (3)在上述转化过程中,步骤②的目的是        ,写出步骤②的化学方程式     

  (4)写出符合下列条件的D的一种同分异构体的结构简式      

a.属于芳香族化合物;

b.核磁共振氢谱显示,分子中有4种化学环境不同的氢原子;

       c.1mol该物质最多可消耗2molNaOH

d.能发生银镜反应。

  (5)兔耳草醛()也是一种重要的香料,主要用于食品、化妆品等工业中。请设计合理方案,以对异丙基苯甲醛()和丙醛为原料合成兔耳草醛(用合成路线流程图表示,并注明反应条件)。

提示:①2CH3CHOCH3CH(OH)CH2CHOCH3CH=CHCHO

②合成过程中无机试剂任选;

③合成路线流程图示例如下:

                 

试题详情

18.(12分)硫酸铜是一种重要的化工原料,工业上常用硫酸为原料来制备硫酸铜。

  (1)工业上生产硫酸过程中,焙烧硫铁矿时产生的废渣是一种二次资源。

①为了从废渣中磁选获得品位合格的铁精矿,高温下利用CO使弱磁性Fe2O3转化为强磁性Fe3O4。写出该反应的化学方程式      ;实验发现:CO太多或太少都会导致磁铁矿产率降低,原因是      

②氯化焙烧工艺是将废渣用氯化钙水溶液调和、成球、高温焙烧,废渣中SiO2与CaCl2等在高温下反应放出HCl,HCl与金属氧化物等反应生成氯化物。反应生成的各金属氯化物以气态形式逸出,进而回收有色金属和回返氯化钙溶液。写出氯化焙烧工艺中生成HCl的化学方程式           

  (2)测定硫酸铜品体中结品水含量的实验步骤为:

步骤1:准确称量一个洁净、干燥的坩埚;

步骤2:将一定量的硫酸铜晶体试样研细后,放入坩埚中称重

步骤3:将盛有试样的坩埚加热,待晶体变成白色粉末时,停止加热;

步骤4:将步骤3中的坩埚放入干燥器,冷却至室温后,称重:

步骤5:          

步骤6:根据实验数据计算硫酸铜晶体试样中结晶水的质量分数。

请完成实验步骤5。  

  (3)已知硫酸铜品体受热可以逐步失去结品水,温度升高还町以分解生成铜的氧化物。观取25.0g CuSO4·5H2O品体均匀受热,缓慢升温至1200℃并恒温1小时,实验测得固体残留率(剩余固体的质量/原始固体质量)与温度的关系如下图所示:

在110℃时所得固体的成分为         ;在1200℃并恒温1小时,反应所得气态产物除去水后,物质的量为         。(填字母)

       A.0 mol      B.0.1mol       C.0.125mol     D.大于0.125mol

试题详情

17.(8分)

  (1)已知:N2(g)+O2(g)=2NO(g); △H=+180.5 kJ·mol-1

       4NH3(g)+5O2(g)=4NO(g)+6H2O(g);△H=-905 kJ·mol-1

2H2(g)十O2(g)=2H2O(g):△H=--483.6 kJ·mol-1

则N2(g)+3H2(g)    2NH3(g)的△H=      

  (2)在一定条件下,将2mol N2与5mol H2混合于一个10 L的密闭容器中,反应情况如图1所示:

①求5min内的平均反应速率v(NH3)        

②达到平衡时NH3的体积分数为           

图1           图2 电解法合成氨装置

  (3)近年来科学家采用高质子导电性的SCY陶瓷(能传递H+)为介质,用吸附在它内外表面上的金属钯多品薄膜做电极,实现了高转化率的电解法合成氨(装置如图2)。钯电极A上发生的电极反应式是          。 

试题详情

16.(10分)氯化亚铜(CuCl)是白色粉末,不溶于水、乙醇及稀硫酸,熔点422℃,沸点1366,在空气中迅速被氧化成绿色,常用作有机合成工业中的催化剂。以粗盐水(含Ca2+、Mg2+、SO42-等杂质、Cu、稀硫酸、SO2等为原料合成CuCl的工艺如下:

  (1)A的化学式为         

  (2)写出反应V的化学方程式        

  (3)写出反应VI的离子方程式为       

  (4)本工艺中可以循环利用的物质是(刚化学式表示)       

  (5)反应VI后,过滤得到CuCl沉淀,用无水乙醇洗涤沉淀,在真空干燥机内于70℃干燥2小时,冷却,密封包装即得产品。于70℃真空干燥的目的是      

试题详情

15.(12分)纯净的过氧化钙(CaO2)难溶于水、乙醇,常温下较为稳定。CaO2·8H2O在0℃时稳定,加热至130℃时逐渐变为无水CaO2。在实验室可用钙盐制取CaO2·8H2O,再经脱水制得CaO2。其制备过程如下:

    根据以上信息,同答下列问题:

  (1)用上述方法制取CaO2·8H2O的化学方程式是      

  (2)操作A的步骤为        

  (3)检验“水洗”已经洗净的方法是            

  (4)测定产品中CaO2的含量的实验步骤是(己知:I2+2S2O32-=2I-+S4O62-):

第一步:准确称取a g产品于锥形瓶中,加入适量蒸馏水和过量的b g KI品体,再滴入适量2 mol·L-1的H2SO4溶液,充分反应:

第二步:向上述锥形瓶中加入几滴淀粉溶液:

第三步:逐滴加入浓度为c mol·L-1的Na2S2O3溶液至反应完全,消耗Na2S2O3溶液VmL。

①第三步反应完全时的现象为      

②产品中CaO2的质量分数为       (用字母表示);

③某同学经实验测得产品中CaO2的质量分数偏高,造成偏高的原因是(测定过程中由操作产生的误差忽略不计,用离子方程式表示)         

试题详情


同步练习册答案