题目列表(包括答案和解析)

 0  166959  166967  166973  166977  166983  166985  166989  166995  166997  167003  167009  167013  167015  167019  167025  167027  167033  167037  167039  167043  167045  167049  167051  167053  167054  167055  167057  167058  167059  167061  167063  167067  167069  167073  167075  167079  167085  167087  167093  167097  167099  167103  167109  167115  167117  167123  167127  167129  167135  167139  167145  167153  447348 

53、如图48-1所示,折射率为n的玻璃砖的两面是平行的,玻璃砖厚度为h,一束细光束射到玻璃砖上表面的入射角为i,光线一部分从上表面反射回空气中;另一部分折射入玻璃砖,在玻璃砖下表面发生反射,又在上表面折射后射入空气中。求:上表面的反射光线I与下表面反射,折射回到空气的光线II的侧移距离为多少?

分析与解:光路图如图48-2所示。光线射到A点,反射光线为I,折射光线射到下表面C点再反射到上表面B点,形成折射光线II。

由折射定律知:[1]

由图知:AB=2htgr [2]

光线Ⅱ相对I的侧移距离d为:d=ABcosi [3]

联立解[1][2][3]式得:d=

试题详情

12、质量为m的钢板与直立轻弹簧的上端连接,弹簧下端固定在地上。平衡时,弹簧的压缩量为Xo,如图11-1所示。一物块从钢板正上方距离为 3Xo的A处自由落下,打在钢板上并立刻与钢板一起向下运动,但不粘连。它们到达最低点后又向上运动。已知物块质量也为m时,它们恰能回到O点。若物块质量为2m,仍从A处自由落下,则物块与钢板回到O点时,还具有向上的速度。求物块向上运动到达的最高点O点的距离。

分析与解:物块自由下落,与钢板碰撞,压缩弹簧后再反弹向上,运动到O点,弹簧恢复原长。碰撞过程满足动量守恒条件。压缩弹簧及反弹时机械能守恒。自由下落3Xo,根据机械能守恒:

  所以  物块与钢板碰撞时,根据动量守恒:  mv0=(m+m)v1(v1为碰后共同速度)

  V1=V0/2=

物块与钢板一起升到O点,根据机械能守恒:2mV12+Ep=2mgx0 [1]

如果物块质量为2m,则:2mVo=(2m+m)V2 ,即V2=Vo

设回到O点时物块和钢板的速度为V,则:3mV22+Ep=3mgx0+3mV2 [2]

从O点开始物块和钢板分离,由[1]式得:

  Ep=mgx0 代入[2]得:m(Vo)2+mgx0=3mgx0+3mV2

所以,V2=gx0      (未完待续)

试题详情

11、如图10-1所示,劲度系数为 K的轻质弹簧一端与墙固定,另一端与倾角为θ的斜面体小车连接,小车置于光滑水平面上。在小车上叠放一个物体,已知小车质量为 M,物体质量为m,小车位于O点时,整个系统处于平衡状态。现将小车从O点拉到B点,令OB=b,无初速释放后,小车即在水平面B、C间来回运动,而物体和小车之间始终没有相对运动。求:(1)小车运动到B点时的加速度大小和物体所受到的摩擦力大小。(2)b的大小必须满足什么条件,才能使小车和物体一起运动过程中,在某一位置时,物体和小车之间的摩擦力为零。

分析与解:

(1)所求的加速度a和摩擦力f是小车在B点时的瞬时值。取M、m和弹簧组成的系统为研究对象,由牛顿第二定律:kb=(M+m)a   所以a=kb/(M+m)。

  取m为研究对象,在沿斜面方向有:f-mgsinθ=macosθ

所以,f=mgsinθ+mcosθ=m(gsinθ+cosθ)

(2)当物体和小车之间的摩擦力的零时,小车的加速度变为a’,小车距O点距离为b’,取m为研究对象,有:mgsinθ=ma’cosθ

取M、m和弹簧组成的系统为研究对象,有:kb‘=(M+m)a’

以上述两式联立解得:b‘=(M+m)gtgθ

  说明:在求解加速度时用整体法,在分析求解m受到的摩擦力时用隔离法。整体法和隔离法两者交互运用是解题中常用的方法,希读者认真掌握。

试题详情

10、如图9-1所示,质量为M=3kg的木板静止在光滑水平面上,板的右端放一质量为m=1kg的小铁块,现给铁块一个水平向左速度V0=4m/s,铁块在木板上滑行,与固定在木板左端的水平轻弹簧相碰后又返回,且恰好停在木板右端,求铁块与弹簧相碰过程中,弹性势能的最大值EP

分析与解:在铁块运动的整个过程中,系统的动量守恒,因此弹簧压缩最大时和铁块停在木板右端时系统的共同速度(铁块与木板的速度相同)可用动量守恒定律求出。在铁块相对于木板往返运动过程中,系统总机械能损失等于摩擦力和相对运动距离的乘积,可利用能量关系分别对两过程列方程解出结果。

  设弹簧压缩量最大时和铁块停在木板右端时系统速度分别为V和V’,由动量守恒得:mV0=(M+m)V=(M+m)V’ 所以,V=V’=mV0/(M+m)=1X4/(3+1)=1m/s

铁块刚在木板上运动时系统总动能为:EK=mV02=0.5X1X16=8J

弹簧压缩量最大时和铁块最后停在木板右端时,系统总动能都为:

EK’=(M+m)V2=0.5X(3+1)X1=2J

铁块在相对于木板往返运过程中,克服摩擦力f所做的功为:

Wf=f2L=EK-EK’=8-2=6J

铁块由开始运动到弹簧压缩量最大的过程中,系统机械能损失为:fs=3J

由能量关系得出弹性势能最大值为:EP=EK-EK‘-fs=8-2-3=3J

说明:由于木板在水平光滑平面上运动,整个系统动量守恒,题中所求的是弹簧的最大弹性势能,解题时必须要用到能量关系。在解本题时要注意两个方面:①.是要知道只有当铁块和木板相对静止时(即速度相同时),弹簧的弹性势能才最大;弹性势能量大时,铁块和木板的速度都不为零;铁块停在木板右端时,系统速度也不为零。

②.是系统机械能损失并不等于铁块克服摩擦力所做的功,而等于铁块克服摩擦力所做的功和摩擦力对木板所做功的差值,故在计算中用摩擦力乘上铁块在木板上相对滑动的距离。

试题详情

9、如图8-1所示,质量为m=0.4kg的滑块,在水平外力F作用下,在光滑水平面上从A点由静止开始向B点运动,到达B点时外力F突然撤去,滑块随即冲上半径为 R=0.4米的1/4光滑圆弧面小车,小车立即沿光滑水平面PQ运动。设:开始时平面AB与圆弧CD相切,A、B、C三点在同一水平线上,令AB连线为X轴,且AB=d=0.64m,滑块在AB面上运动时,其动量随位移的变化关系为P=1.6kgm/s,小车质量M=3.6kg,不计能量损失。求:

(1)滑块受水平推力F为多大? (2)滑块通过C点时,圆弧C点受到压力为多大? (3)滑块到达D点时,小车速度为多大? (4)滑块能否第二次通过C点? 若滑块第二次通过C点时,小车与滑块的速度分别为多大? (5)滑块从D点滑出再返回D点这一过程中,小车移动距离为多少? (g取10m/s2)

  分析与解:(1)由P=1.6=mv,代入x=0.64m,可得滑块到B点速度为:

    VB=1.6/m=1.6=3.2m/s

   A→B,由动能定理得:FS=mVB2

    所以 F=mVB2/(2S)=0.4X3.22/(2X0.64)=3.2N

(2)滑块滑上C立即做圆周运动,由牛顿第二定律得:

    N-mg=mVC2/R 而VC=VB 则   N=mg+mVC2/R=0.4X10+0.4X3.22/0.4=14.2N

(3)滑块由C→D的过程中,滑块和小车组成系统在水平方向动量守恒,由于滑块始终紧贴着小车一起运动,在D点时,滑块和小车具有相同的水平速度VDX 。由动量守恒定律得:mVC=(M+m)VDX

所以 VDX=mVC/(M+m)=0.4X3.2/(3.6+0.4)=0.32m/s

(4)滑块一定能再次通过C点。因为滑块到达D点时,除与小车有相同的水平速度VDX外,还具有竖直向上的分速度VDY,因此滑块以后将脱离小车相对于小车做竖直上抛运动(相对地面做斜上抛运动)。因题中说明无能量损失,可知滑块在离车后一段时间内,始终处于D点的正上方(因两者在水平方向不受力作用,水平方向分运动为匀速运动,具有相同水平速度), 所以滑块返回时必重新落在小车的D点上,然后再圆孤下滑,最后由C点离开小车,做平抛运动落到地面上。由机械能守恒定律得:

   mVC2=mgR+(M+m)VDX2+mVDY2

所以

以滑块、小车为系统,以滑块滑上C点为初态,滑块第二次滑到C点时为末态,此过程中系统水平方向动量守恒,系统机械能守恒(注意:对滑块来说,此过程中弹力与速度不垂直,弹力做功,机械能不守恒)得:

   mVC=mVC‘+MV 即mVC2=mVC2+MV2

上式中VC‘、V分别为滑块返回C点时,滑块与小车的速度,

     V=2mVC/(M+m)=2X0.4X3.2/(3.6+0.4)=0.64m/s

   VC’=(m-M)VC/(m+M)=(0.4-3.6)X3.2/(0.4+3.6)=-2.56m/s(与V反向)

(5)滑块离D到返回D这一过程中,小车做匀速直线运动,前进距离为:

   △S=VDX2VDY/g=0.32X2X1.1/10=0.07m

试题详情

8、一内壁光滑的环形细圆管,位于竖直平面内,环的半径为R(比细管的内径大得多。在圆管中有两个直径与细管内径相同的小球(可视为质点)。A球的质量为m1,B球的质量为m2。它们沿环形圆管顺时针运动,经过最低点时的速度都为V0。设A球运动到最低点时,B球恰好运动到最高点,若要此时两球作用于圆管的合力为零,那么m1、m2、R与V0应满足的关系式是     

分析与解:如图7-1所示,A球运动到最低点时速度为V0,A球受到向下重力mg和细管向上弹力N1的作用,其合力提供向心力。那么,N1-m1g=m1 [1]

这时B球位于最高点,速度为V1,B球受向下重力m2g和细管弹力N2作用。球作用于细管的力是N1、N2的反作用力,要求两球作用于细管的合力为零,即要求N2与N1等值反向,N1=N2 [2], 且N2方向一定向下,对B球:N2+m2g=m2 [3]

B球由最高点运动到最低点时速度为V0,此过程中机械能守恒:

m2V12+m2g2R=m2V02 [4]

由[1][2][3][4]式消去N1、N2和V1后得到m1、m2、R与V0满足的关系式是:

(m1-m2)+(m1+5m2)g=0 [5]

说明:(1)本题不要求出某一物理量,而是要求根据对两球运动的分析和受力的分析,在建立[1]-[4]式的基础上得到m1、m2、R与V0所满足的关系式[5]。(2)由题意要求两球对圆管的合力为零知,N2一定与N1方向相反,这一点是列出[3]式的关键。且由[5]式知两球质量关系m1<m2

试题详情

1]、[2]两式消去GM解得:V===2.0X103 m/s

  说明:n越大(即卫星越高),卫星的线速度越小。若n=0,即近地卫星,则卫星的线速度为V0==7.9X103m/s,这就是第一宇宙速度,即环绕速度。

试题详情

7、某人造地球卫星的高度是地球半径的15倍。试估算此卫星的线速度。已知地球半径R=6400km,g=10m/s2

分析与解:人造地球卫星绕地球做圆周运动的向心力由地球对卫星的引力提供,设地球与卫星的质量分别为M、m,则:= [1]

又根据近地卫星受到的引力可近似地认为等于其重力,即:mg= [2]

试题详情

6、如图6-1所示,A、B两物体的质量分别是m1和m2,其接触面光滑,与水平面的夹角为θ,若A、B与水平地面的动摩擦系数都是μ,用水平力F推A,使A、B一起加速运动,求:(1)A、B间的相互作用力 (2)为维持A、B间不发生相对滑动,力F的取值范围。

 

 分析与解:A在F的作用下,有沿A、B间斜面向上运动的趋势,据题意,为维持A、B间不发生相对滑动时,A处刚脱离水平面,即A不受到水平面的支持力,此时A与水平面间的摩擦力为零。

 本题在求A、B间相互作用力N和B受到的摩擦力f2时,运用隔离法;而求A、B组成的系统的加速度时,运用整体法。

(1)对A受力分析如图6-2(a)所示,据题意有:N1=0,f1=0

因此有:Ncosθ=m1g [1] ,  F-Nsinθ=m1a [2]

由[1]式得A、B间相互作用力为:N=m1g/cosθ

(2)对B受力分析如图6-2(b)所示,则:N2=m2g+Ncosθ [3] , f2=μN2 [4]

将[1]、[3]代入[4]式得: f2=μ(m1+ m2)g

取A、B组成的系统,有:F-f2=(m1+ m2)a [5]

由[1]、[2]、[5]式解得:F=m1g(m1+ m2)(tgθ-μ)/m2

故A、B不发生相对滑动时F的取值范围为:0<F≤m1g(m1+ m2)(tgθ-μ)/m2

想一想:当A、B与水平地面间光滑时,且又m1=m2=m时,则F的取值范围是多少?(0<F≤2mgtgθ=。

试题详情

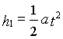
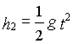
5、如图5-1所示,长L=75cm的静止直筒中有一不计大小的小球,筒与球的总质量为4千克,现对筒施加一竖直向下、大小为21牛的恒力,使筒竖直向下运动,经t=0.5秒时间,小球恰好跃出筒口。求:小球的质量。(取g=10m/s2)

分析与解:筒受到竖直向下的力作用后做竖直向下的匀加速运动,且加速度大于重力加速度。而小球则是在筒内做自由落体运动。小球跃出筒口时,筒的位移比小球的位移多一个筒的长度。

设筒与小球的总质量为M,小球的质量为m,筒在重力及恒力的共同作用下竖直向下做初速为零的匀加速运动,设加速度为a;小球做自由落体运动。设在时间t内,筒与小球的位移分别为h1、h2(球可视为质点)如图5-2所示。

由运动学公式得:

 

又有:L=h1-h2 代入数据解得:a=16米/秒2

 又因为筒受到重力(M-m)g和向下作用力F,据牛顿第二定律:

F+(M-m)g=(M-m)a 得:

试题详情


同步练习册答案