题目列表(包括答案和解析)

 0  169065  169073  169079  169083  169089  169091  169095  169101  169103  169109  169115  169119  169121  169125  169131  169133  169139  169143  169145  169149  169151  169155  169157  169159  169160  169161  169163  169164  169165  169167  169169  169173  169175  169179  169181  169185  169191  169193  169199  169203  169205  169209  169215  169221  169223  169229  169233  169235  169241  169245  169251  169259  447348 

13.(12分)如图所示,一质点做匀变速直线运动。在通过a点时,速度大小va=4m/s,方向向右,经过t=1s后,该质点在b点,速度大小vb=10m/s。求在这一秒内质点的速率最小时,距离a点多远?

试题详情

11.(12分)在“探究小车速度随时间变化的规律”的实验中,打点计时器使用的交流电的频率为50Hz,记录小车运动的纸带如图所示,在纸带上选择0、1、2、3、4、5的6个计数点,相邻两计数点之间还有四个点未画出,纸带旁并排放着带有最小分度为毫米的刻度尺,零点跟“0”计数点对齐,

(1)由上图可以读出三个计数点1、3、5跟0点的距离填入下列表格中

距离
d1
d2
d3
测量值/cm
 
 
 

(2)计算小车通过计数点“2”的瞬时速度为v2=______________m/s,小车的加速度是a=____________________m/s2.

12.( 12 分) 科学探究活动通常包括以下环节:提出问题,作出假设,制定计划,搜集证据,评估交流等.一组同学研究“运动物体所受空气阻力与运动速度关系”的探究过程如下:

A.有同学认为:运动物体所受空气阻力可能与其运动速度有关.

B.他们计划利用一些“小纸杯”作为研究对象,用超声测距仪等仪器测量“小纸杯”在空中直线下落时的下落距离、速度随时间变化的规律,以验证假设.

C.相同的实验条件下,同学们首先测量了单只“小纸杯”在空中下落过程中不同时刻的下落距离,将数据填入下表中,图(a)是对应的位移一时间图线.然后将不同数量的“小纸杯”叠放在一起从空中下落,分别测出它们的速度一时间图线,如图(b)中图线l、2、3、4、5所示.

D.同学们对实验数据进行分析、归纳后,证实了他们的假设.

回答下列提问:

(1)与上述过程中A、C步骤相应的科学探究环节分别是____ 、       .    

(2)图(a)中的AB段反映了运动物体在做___   运动,表中X处的值为     

(3)图(b)中各条图线具有共同特点,“小纸杯”在下落的开始阶段做_____  运动,最后“小纸杯”做        运动.

(4)比较图(b)中的图线 l和图线5,指出在1.0-1.5s时间段内,速度随时间变化关系的差异:________________________________。

时间(s)
下落距离(m)
0.0
0.000
0.4
0.036
0.8
0.469
1.2
0.957
1.6
1.447
2.O
X

 

 

 

 

 

试题详情

9.如图甲所示,某人正通过定滑轮将质量为m的货物提升到高处。滑轮的质量和摩擦均不计,货物获得的加速度a与绳子对货物竖直向上的拉力T之间的函数关系如图乙所示。由图可以判断   

A.图线与纵轴的交点M的值am=-g

B.图线与横轴的交点N的值TNmg

C.图线的斜率等于物体的质量m

D.图线的斜率等于物体质量的倒数1/m

10.如图所示,两根等长的直木棍ABCD相互平行靠在竖直墙壁上固定不动,一根水泥圆筒从木棍的上部匀速滑下,若保持两木棍的倾角不变而将两棍间的距离减小后固定不动,仍将水泥圆筒放在两木棍上部,则水泥圆筒在两木棍上将 

A.仍匀速滑下

B.匀加速滑下

C.可能静止

D.一定静止

 

 

          第Ⅱ卷(共110分)

试题详情

8.欲使在粗糙斜面上匀速下滑的物体静止,如图所示,可采用的方法是 

 A.在物体上叠放一重物

 B.对物体施加一垂直于斜面的力

 C.对物体施一竖直向下的力

 D.增大斜面的倾角

试题详情

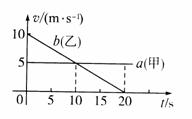
7.甲乙两辆汽车在平直的公路上沿同一方向作直线运动,t=0时刻同时经过公路旁的同一个路标。在描述两车运动的vt图中(如图),直线ab分别描述了甲乙两车在0 ~ 20秒的运动情况。关于两车之间的位置关系,下列说法正确的是 

A.在0 ~ 20秒内两车逐渐靠近

B.在10 ~ 20秒内两车逐渐远离

C.在0 ~ 20秒内两车位移相等

D.在t=10秒时两车在公路上相遇

试题详情

5.如图所示,物体A、B和C叠放在水平桌面上,水平力为Fb=5N,Fc=10N,分别作用于物体B、C上,A、B和C仍保持静止。以Ff1、Ff2、Ff3分别表示A与B、B与C、C与桌面间的静摩擦力的大小,则  

 A.Ff1=5N,Ff2=0,Ff3=5N

B.Ff1=5N,Ff2=5N,Ff3=0

C.Ff1=0,Ff2=5,Ff3=5N

D.Ff1=0,Ff2=10N,Ff3=5N

6.如图所示,轻绳的两端分别系在圆环A和小球B上,圆环A套在粗糙的水平直杆MN上。现用水平F拉着绳子上的一点O,使小球B从图中实线位置缓慢上升到虚线位置,但圆环A始终保持在原位置不动。则在这一过程中,环对杆的摩擦力f和环对杆的压FN的变化情况是 

  Af不变,FN不变

  Bf增大,FN不变

  Cf增大,FN减小

  Df 不变,FN减小

试题详情

4. 木块A、B分别重50N和60N,它们与水平地面之间的动摩擦因数均为0.25。夹在A、B之间的轻弹簧被压缩了2cm,弹簧的劲度系数为400N/m。系统置于水平地面上静止不动。现用F=1N的水平拉力作用在木块B上,如图所示,力F作用后 

 A.木块B所受摩擦力大小是9N

 B.木块B所受摩擦力大小是7N

 C.木块A所受摩擦力大小是12.5N

 D.木块A所受摩擦力大小是11.5N

试题详情

3.一质量为m的人站在电梯中,电梯加速上升,加速大小为,g为重力加速度。人对电梯底部的压力为 

    A.     B.2mg    C.mg    D.

试题详情

2.做匀加速直线运动的物体,先后经过A、B两点时的速度分别为v和7v,经历的时间为t,则 

A.前半程速度增加3.5v

B.前时间内通过的位移为

C.后时间内通过的位移为

D.后半程速度增加3v

试题详情

1.一汽车在路面情况相同的公路上沿直线行驶,下面关于车速、惯性、质量和滑行路和的讨论,正确的是  

  A.车速越大,它的惯性越大

  B.质量越大,它的惯性越大

  C.车速越大,刹车后滑行的路程越长

  D.车速越大,刹车后滑行的路程越长,所以惯性越大

试题详情


同步练习册答案