题目列表(包括答案和解析)

 0  30780  30788  30794  30798  30804  30806  30810  30816  30818  30824  30830  30834  30836  30840  30846  30848  30854  30858  30860  30864  30866  30870  30872  30874  30875  30876  30878  30879  30880  30882  30884  30888  30890  30894  30896  30900  30906  30908  30914  30918  30920  30924  30930  30936  30938  30944  30948  30950  30956  30960  30966  30974  447348 

2. 下列各组物质各自形成的晶体,都属于由化合物形成的分子晶体的是     (    )

A.  H2O  O3  C3H8         B.  P2O5  CO2  H3PO4

C. SO2  SiO2  CS2         D. CCl4  (NH4)2S  H2O2

试题详情

1. 下列说法正确的是                           (    )

A. Na2O2 晶体中阴离子和阳离子的数目之比为1:1

B. 只有非金属元素之间才能形成共价键

C. 分子晶体中不一定含有共价键     

D. 在晶体中只要有阳离子就一定阴有阳离子

试题详情

1
2
3
4
5
6
7
8
9
10
11
D
B
B
C
B
C
A
A
B
D
B
12
13
14
15
16
17
18
19
20
21
22
C
B
A
A
C
A
C
A
C
D
A

试题详情

30.   (8分)实验室制取气体常用的装置如下列图示,请回答下列问题:(选用装置时填字母

编号)

               

(1)若实验室选用装置C制取氨气,则反应的化学方程式为

 ______________________________________________________________,

检验NH3满的方法:____________________________________________________;

(2)若实验室利用过氧化钠与水反应制取氧气,则应选择__________装置,有关反应的化学方程式为:

_______________________________________________________________。

化学参考答案及评分标准

试题详情

29.(8分)为了达到下表所列的一些有关家庭常用物质的实验要求,请选择合适的化学试剂,将其标号填入对应的空格中。

供选择的化学试剂:

A. 酸性高锰酸钾溶液  B.硝酸银溶液和硝酸  C.氢氧化钠溶液  D.氧化钙

 

试题详情

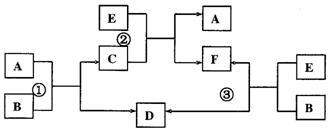
28.(8分)A、B、C、D、E、F六种物质在一定条件下有下图所示的相互转化关系,所有反应物和生成物均已给出。试回答:

(1)若反应①、②、③均为溶液中进行的置换反应,A、D、E分别为铝、铁、铜三种金属中的一种,则A的元素符号为____________。请写出反应③的离子方程式:

________________________________________________________________。

(2)反应①、②、③均为在溶液中进行的复分解反应。A在常温下为无色刺激性气体,并能使湿润的红色石蕊试纸变蓝;E为常见碱,其焰色反应呈黄色;溶液中形成的D是白色沉淀,且具有两性。

若B能与硝酸银溶液反应产生白色沉淀,则B的化学式为____________________。

写出E与D反应的离子方程式____________________________________________。

试题详情

27.(8分)下表为元素周期表的一部分。表中所列的字母分别代表某一元素。

   

(1)元素F的名称是_____________;

(2)B、C、D、E四种元素的氢化物中最稳定的是____________(写化学式);

(3)写出B的最高价氧化物的电子式      ________

(4)1molA与D的氢化物完全反应产生的气体在标准状况下的体积为     

试题详情

26.(6分)

(1)氢氧化铝Al(OH)3是一种治疗胃酸(含盐酸)过多的药物,请用化学方程式表示该反应的原理:

                                

(2)炒菜时,经常加入少量的料酒(含乙醇)和醋,可使菜变得香醇可口,主要是因为上述两种物质发生了某种反应,请用化学方程式表示该反应的原理:

                           

(3)醋还可用于除去热水瓶胆内的水垢(设其主要成分为碳酸钙),请用化学方程式表示该反应的原理:

                           

试题详情

25.(4分)

(1)药物黄麻碱是从中药麻黄中提取的生物碱,

可用于治疗支气管哮喘、鼻黏膜充血引起

的鼻塞等。服用麻黄碱的不良反应是有时会

出现由于中枢兴奋所导致的不安、失眠等,

晚间服用最好同服镇静催眠药以防止失眠。麻黄碱的结构简式如图所示。

请写出麻黄碱的分子式__________________

(2)药物可分为处方药和非处方药。“OTC”表示____________________

试题详情

24.(6分)下图表示配制 100 mL 0.100 mol·L-1 Na2CO3溶液的几个关键实验步骤和操作,据图回答下列问题:

(1)步骤E中将一玻璃仪器上下颠倒数次,该仪器的名称是        

(2)步骤B通常称为转移,步骤A通常称为            

(3)将上述实验步骤A→F按实验过程先后次序排列          

试题详情


同步练习册答案