题目列表(包括答案和解析)

 0  30926  30934  30940  30944  30950  30952  30956  30962  30964  30970  30976  30980  30982  30986  30992  30994  31000  31004  31006  31010  31012  31016  31018  31020  31021  31022  31024  31025  31026  31028  31030  31034  31036  31040  31042  31046  31052  31054  31060  31064  31066  31070  31076  31082  31084  31090  31094  31096  31102  31106  31112  31120  447348 

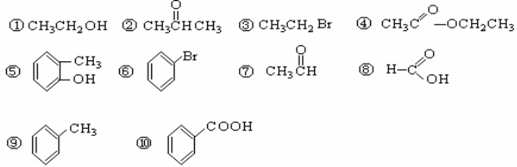
20、(本题共6分,每空1分)请同学们根据官能团的不同对下列有机物进行分类。

(1)芳香烃:             ;(2)卤代烃:            

(3)醇:               ;(4)酚:               

(5)醛:               ;(6)酯:              

试题详情

19、(本题共5分)你留意过标签上的化学吗?

这是某品牌休闲西服标签上的部分内容:

等级:特级
成份:面料 羊毛80% 绦纶20%
    里料 绦纶100%

 
熨烫标准:中温,不超过150℃

  回答:(1)其中属于合成纤维的是____________

    (2)从此标签中可感觉羊毛、绦纶两种纤维的共同点有________。

    (3)将面料、里料中各抽出一根来点燃,可观察到的现象是_______。

试题详情

18、在一密闭容器中有CH4和O2混合气体共20g,放入足量Na2O2用电火花引燃,使其完全反应,Na2O2增重8g,则原混合气体中O2的质量分数是(   )

A.33.3%     B.40%      C.60%      D.80%

试题详情

17、某烃的分子式为C10H14,不能使溴水褪色,但可使高锰酸钾酸性溶液褪色,其分子结构中只含有一个烷基,则此烃的结构共有(   )  

A.2种     B.3种     C.4种     D.5种

试题详情

16、已知有机物A的红外光谱和核磁共振氢谱如下图,下列说法错误的是(   )

A.由红光外谱可知,该有机物中至少有三种不同的化学键

B.由核磁共振氢谱可知,该有机物分子中有三种不同化学环境的氢原子

C.仅由其核磁共振氢谱无法得知其分子中的氢原子总数

D.若A的化学式为C3H6O,则其结构简式为CH3COCH3

试题详情

15、鸦片最早用于药物(有止痛、止泻、止咳作用),长期服用会成瘾。现有鸦片的替代品用于脱瘾治疗,结构如下:

1mol该化合物完全燃烧耗O2的物质的量、与NaOH溶液作 

用消耗NaOH的物质的量、其苯环上的一溴代物的种数分别是

A.26 mol、4 mol、7 mol   B.24 mol、4 mol、8 mol

C.26 mol、5 mol、7 mol   D.24 mol、5 mol、8 mol

试题详情

14.用一种试剂鉴别乙醇、乙酸、乙醛、甲酸四种无色溶液,这种试剂是下列的(   )

A.银氨溶液   B.浓氨水  C.FeCl3溶液    D.新制Cu(OH)2 浊液

试题详情

13、对复杂的有机物结构可用“键线式”表示。如苯丙烯酸1—丙烯酯:

可简化为       

 

杀虫剂“阿乐丹”的结构表示为              ,若它在稀酸作用下

能发生水解反应生成两种有机物,则此两种有机物具有的共同性质是(   )

A.遇FeCl3溶液均显紫色                      B.均能发生银镜反应

C.均不能与钠发生反应                       D.均能与NaOH溶液发生反应

试题详情

12、设NA为阿伏加德罗常数的值,下列有关说法正确的是(   ) 

A.0.5 mol苯分子中含有C=C双键数为1.5 NA

B.1 mol甲基(—CH3)所含的电子总数为8 NA

C.标准状况下,1L甲醇完全燃烧后生成的CO2分子数目约为NA

D.2.8 g乙烯和丙烯的混合气体中所含碳原子数为0.2NA

试题详情

11.分子式为C10H20O2有机物A,能在酸性条件下水解生成有机物C和D,且C在一定条件下可转化成D,则A的可能结构有(   )

A.2种       B.3种       C.4种       D.5种

试题详情


同步练习册答案