题目列表(包括答案和解析)

 0  31023  31031  31037  31041  31047  31049  31053  31059  31061  31067  31073  31077  31079  31083  31089  31091  31097  31101  31103  31107  31109  31113  31115  31117  31118  31119  31121  31122  31123  31125  31127  31131  31133  31137  31139  31143  31149  31151  31157  31161  31163  31167  31173  31179  31181  31187  31191  31193  31199  31203  31209  31217  447348 

20.一化学兴趣小组在家中进行化学实验,按照图甲连接好线路发现灯泡不亮,按照图乙

  连接好线路发现灯泡亮,由此得出的结论正确的是  (   )

A.NaCl是非电解质   .

B.NaCl溶液是电解质

C.NaCl在水溶液中电离出可以自由移动的离子

D.NaCl溶液中水电离出大量的离子

试题详情

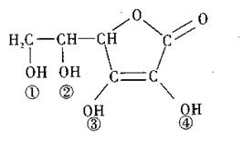
19.维生素C(Vitamin C)又名抗坏血酸,具有酸性和强还原性,也是一种常见的食品添加剂,其结构如右图。下列有关说法中正确的是    (   )

    A.维生素C的分子式为C6H10O6

    B.维生素C 由于含有酯基而难溶于水

    C.维生素C由于含有C=O键而能发生

加成反应

    D.维生素C的酸性可能是③、④两个

羟基引起的

试题详情

18.表1中实验操作能达到实验目的的是  (  )

 
实验操作
实验目的
A
将乙烷与乙烯分别通入酸性高锰酸钾溶液中
可以鉴别乙烷和乙烯
B
蔗糖溶液加入稀硫酸,在加入新制氢氧化铜,加热
确定蔗糖是否水解
C
向酒精和醋酸的混合液中加入金属钠
确定酒精中混有醋酸
D
向苯中加入酸性高锰酸钾溶液
验证苯结构中存在碳碳双键

试题详情

17、化学用语是学习化学的重要工具。下列用来表示物质变化的化学用语中,不正确的是 (   )

A. 钢铁腐蚀时可能发生的正极反应:2H2O+ O2+ 4e=4OH

    B. 明矾水解的离子方程式:    Al3++ 3 H2OAl(OH)3+3H+

    C.少量氢氧化钙溶液与碳酸氢钠溶液混合:OH+ HCO3=H2O+ CO32

D. 硫化氢在水溶液中发生的电离方式:H2S + H2OHS- + H3O+ 

试题详情

16.现有四种无色溶液a,b,c,d,分别是Na2CO3、Na2SO4、H2SO4和Ba(NO3)2中的一种。为确定每种溶液,做如下实验:①a+d→气体+溶液;②b+c→沉淀+溶液;

③b+d→溶液+沉淀e;④a+b→沉淀+溶液f;⑤e+f→溶液+气体。则a,b,c,d依次为(   )

    A.Na2CO3、Ba(NO3)2、Na2SO4、H2SO4

    B.Na2SO4、Ba(NO3)2、Na2CO3、H2SO4

    C.H2SO4、Ba(NO3)2、Na2SO4、Na2CO3

D.Ba(NO3)2、Na2SO4、H2SO4、Na2CO3

试题详情

15. 下列涉及有机物性质或应用的说法不正确的是  (   )

A. 利用油脂与氢氧化钠溶液反应可以制肥皂

B. 乙烯、聚氯乙烯都能使溴水褪色  

C. 苯、乙醇、乙酸都能发生取代反应

D. 在一定条件下,纤维素、蛋白质都可发生水解反应

试题详情

14. 右图装置的水溶液中存在如下平衡:AsO33-+H2O+I2AsO43-+2H++2I-,当往上层溶液中滴入足量试剂X并充分振荡,静置后下层液体变无色。则X可能是 (   )

A. 双氧水         B. 蒸馏水  

C. 碳酸氢钠溶液      D. 盐酸溶液

试题详情

13. 有一无色溶液,若向其中加入足量饱和氯水,溶液呈橙黄色,再向橙黄色溶液中滴加BaCl2溶液,产生白色沉淀;若向原溶液中加入铝粉,有气体放出。该溶液中可能大量共存的一组离子是                    (    )

A.K+、H+、NO3-、Na+      B.H+、Br、SO42、Na+ 

C.SO42、Br-、OH-、Fe3+     D.H+、Br-、SO32-、K+

试题详情

12. 有铁的氧化物样品.用5 mol·L盐酸140ml,恰好使其完全溶解,所得溶液还能吸收标准状况下0.56 L氯气,使其中的Fe2+部转化为Fe3+,该样品可能的化学式是 (   )

   A.Fe2O3   B.Fe3O4   C.Fe4O5   D.Fe5O7

试题详情

11.R、X、Y和Z是四种元素,其常见化合价均为+2价,且X2+与单质R不反应:X2++Z=X+Z2+;Y+Z2+=Y2++Z。这四种离子被还原成0价进表现的氧化性大小符合                              (   )

   A.R2+>X2+>Z2+>Y2+          B.X2+>R2+>Y2+>Z2+ 

C.Y2+>Z2+>R2+>X2+             D.Z2+>X2+>R2+>Y2+

试题详情


同步练习册答案