题目列表(包括答案和解析)

 0  66941  66949  66955  66959  66965  66967  66971  66977  66979  66985  66991  66995  66997  67001  67007  67009  67015  67019  67021  67025  67027  67031  67033  67035  67036  67037  67039  67040  67041  67043  67045  67049  67051  67055  67057  67061  67067  67069  67075  67079  67081  67085  67091  67097  67099  67105  67109  67111  67117  67121  67127  67135  447348 

16、用代入法解          

试题详情

14、下列说法正确的            [ ] A.二元一次方程2x+3y=17的正整数解有2组      15、某校运动员分组训练,若每组7人,余3人;若每组8人,则缺5人;设运动员人数为x人,组数为y组,则列方程组为            [  ]

A、  B、  C、    D、

试题详情

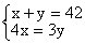
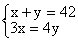
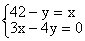
12、在方程4x-3y=12中,若x=0,那么对应的y值应为:     [ ]  A、4    B、-4    C、3     D、-3 13、甲、乙两数之和是42,甲数的3倍等于乙数的4倍,求甲、乙两数.若设甲数为x,乙数为y,列方程组           [ ]       正确的个数为:

A.1个     B.2个    C.3个    D.4个

试题详情

10、若是同类项,则        [  ]

A、-3    B、0     C、3     D、6

11

A、  是这方程的唯一解        B、不是这方程的一个解

C、是这方程的一个解        D、以上结论都不对

试题详情

9、下列方程组中,属于二元一次方程组的是         [  ]

A、  B、   C、    D、

试题详情

8、已知:,则的值是       

试题详情

7、甲、乙两人在200米的环形跑道上练习径走,当他们从某处同时出发背向行走时,每30秒相遇一次;同向行走时,每隔4分钟相遇一次,设甲、乙的速度分别为每分钟X米,每分钟Y米,则可列方程组 {___________________.

试题详情

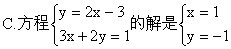
5、如果方程组的解是,则       

试题详情

4、由_______,_______。

试题详情


同步练习册答案