题目列表(包括答案和解析)

 0  72583  72591  72597  72601  72607  72609  72613  72619  72621  72627  72633  72637  72639  72643  72649  72651  72657  72661  72663  72667  72669  72673  72675  72677  72678  72679  72681  72682  72683  72685  72687  72691  72693  72697  72699  72703  72709  72711  72717  72721  72723  72727  72733  72739  72741  72747  72751  72753  72759  72763  72769  72777  447348 

15.下列说法正确的是(    ). 

   

(A) x≥1  (B)x>1且x≠-2  (C) x≠-2  (D) x≥1且x≠-2

 (A)2x-4  (B)-2   (C)4-2x   (D)2

试题详情

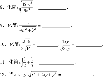
7.在实数范围内分解因式 : a4-4 =____________.

试题详情

2.的平方根是_____________.

试题详情

1.4的平方根是_____________.

试题详情

7、(8分)如图,一个梯子AB长2.5 米,顶端A靠在墙AC上,这时

梯子下端B与墙角C距离为1.5米,梯子滑动后停在DE的位置上,测

得BD长为0.5米,求梯子顶端A下落了多少米?

试题详情

6、(8分)我们在学习“实数”时,画了这样一个图,即“以数轴上的单位长为‘1’的线段作一个正方形,然后以原点O为圆心,正方形的对角线长为半径画弧交x 轴于点A”,请根据图形回答下列问题:

(1)线段OA的长度是多少?(要求写出求解过程)

(2)这个图形的目的是为了说明什么?

(3)这种研究和解决问题的方式,体现了          的数学思想方法。

(将下列符合的选项序号填在横线上)

A、数形结合  B、代入   C、换元   D、归纳

试题详情

5、(7分)如图,正方形网格中的每个小正方形边长都是1,任意连结这些小正方形的顶点,可得到一些线段。请在图中画出这样的线段,并选择其中的一个说明这样画的道理。

试题详情

4、(6分)按要求分别画出旋转对称图形:

(3)画△ABC绕O点顺时针方向旋转90°后得到△

(4)把四边形ABCD绕O点逆时针方向旋转90°后得四边形

试题详情

3、(1)(3分)把小船ABCD通过平移后到的位置,请你根据题中信息,画出平移后的小船位置。(2)(2分)如图1,线段CD是线段AB经过向左平移______格,再向下平移______格后得到的。

试题详情


同步练习册答案