题目列表(包括答案和解析)

 0  72584  72592  72598  72602  72608  72610  72614  72620  72622  72628  72634  72638  72640  72644  72650  72652  72658  72662  72664  72668  72670  72674  72676  72678  72679  72680  72682  72683  72684  72686  72688  72692  72694  72698  72700  72704  72710  72712  72718  72722  72724  72728  72734  72740  72742  72748  72752  72754  72760  72764  72770  72778  447348 

13. x≤4

试题详情

12. -x-y

试题详情

6. m≥1

试题详情

5. 0或4

试题详情

4. –2

试题详情

3. –ab

试题详情

2. ±2

试题详情

 

 2.-27的立方根=                  .

 

 

 

 

 

、选择题(每题4分,共20分)

15.下列式子成立的是(    ).

17.下列计算正确的是(    ).

 

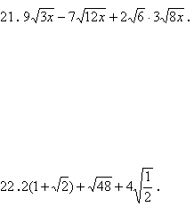
三、计算题(各小题6分,共30分)

 

 

 

 

 

 

 

 

 

 

 

 

 

 

 

 

 

 

 

 

 

 

 

 

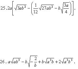
四、化简求值(各小题8分,共16分)

 

 

 

五、解答题(各小题8分,共24分)

 

 

 

 

 

 

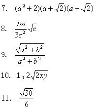
二次根式(A卷)答案

1.±2

试题详情

30.已知正方形纸片的面积是32cm2,如果将这个正方形做成一个圆柱,请问这个圆柱底圆的半径是多少(保留3个有效数字)?

二次根式(B卷)

试题详情

29. 有一块面积为(2a + b)2π的图形木板,挖去一个圆后剩下的木板的面积是(2a - b)2π,问所挖去的圆的半径多少?

试题详情


同步练习册答案