题目列表(包括答案和解析)

 0  79020  79028  79034  79038  79044  79046  79050  79056  79058  79064  79070  79074  79076  79080  79086  79088  79094  79098  79100  79104  79106  79110  79112  79114  79115  79116  79118  79119  79120  79122  79124  79128  79130  79134  79136  79140  79146  79148  79154  79158  79160  79164  79170  79176  79178  79184  79188  79190  79196  79200  79206  79214  447348 

4、  直接写出因式分解的结果:

(1);(2)

试题详情

3、  在括号前面填上“+”或“-”号,使等式成立:

(1);    (2)

试题详情

2、  填上适当的式子,使以下等式成立:

(1)

(2)

试题详情

1、  把下列各式的公因式写在横线上:

       ;    ②=    

试题详情

3.分解因式:

 (1)(2x2-3x+1)2-22x2+33x-1;

 (2)x4+7x3+14x2+7x+1;

 (3)(x+y)3+2xy(1-x-y)-1;

 (4)(x+3)(x2-1)(x+5)-20.

本资料由《七彩教育网》 提供!

试题详情

3.分解因式:

 (1)(2x2-3x+1)2-22x2+33x-1;

 (2)x4+7x3+14x2+7x+1;

 (3)(x+y)3+2xy(1-x-y)-1;

 (4)(x+3)(x2-1)(x+5)-20.

第一讲 因式分解(一)

 多项式的因式分解是代数式恒等变形的基本形式之一,它被广泛地应用于初等数学之中,是我们解决许多数学问题的有力工具.因式分解方法灵活,技巧性强,学习这些方法与技巧,不仅是掌握因式分解内容所必需的,而且对于培养学生的解题技能,发展学生的思维能力,都有着十分独特的作用.初中数学教材中主要介绍了提取公因式法、运用公式法、分组分解法和十字相乘法.本讲及下一讲在中学数学教材基础上,对因式分解的方法、技巧和应用作进一步的介绍.

试题详情

2.分解因式:

 (1)x3+3x2-4;

 (2)x4-11x2y2+y2

 (3)x3+9x2+26x+24;

 (4)x4-12x+323.

试题详情

1.分解因式:

 

 (2)x10+x5-2;

 

 (4)(x5+x4+x3+x2+x+1)2-x5

试题详情

3.换元法

 换元法指的是将一个较复杂的代数式中的某一部分看作一个整体,并用一个新的字母替代这个整体来运算,从而使运算过程简明清晰.

 例6 分解因式:(x2+x+1)(x2+x+2)-12.

 分析 将原式展开,是关于x的四次多项式,分解因式较困难.我们不妨将x2+x看作一个整体,并用字母y来替代,于是原题转化为关于y的二次三项式的因式分解问题了.

 解 设x2+x=y,则

 原式=(y+1)(y+2)-12=y2+3y-10

  =(y-2)(y+5)=(x2+x-2)(x2+x+5)

  =(x-1)(x+2)(x2+x+5).

 说明 本题也可将x2+x+1看作一个整体,比如今x2+x+1=u,一样可以得到同样的结果,有兴趣的同学不妨试一试.

 例7 分解因式:

(x2+3x+2)(4x2+8x+3)-90.

 分析 先将两个括号内的多项式分解因式,然后再重新组合.

 解 原式=(x+1)(x+2)(2x+1)(2x+3)-90

    =[(x+1)(2x+3)][(x+2)(2x+1)]-90

    =(2x2+5x+3)(2x2+5x+2)-90.

 令y=2x2+5x+2,则

 原式=y(y+1)-90=y2+y-90

  =(y+10)(y-9)

  =(2x2+5x+12)(2x2+5x-7)

  =(2x2+5x+12)(2x+7)(x-1).

 说明 对多项式适当的恒等变形是我们找到新元(y)的基础.

 例8 分解因式:

(x2+4x+8)2+3x(x2+4x+8)+2x2

 解 设x2+4x+8=y,则

 原式=y2+3xy+2x2=(y+2x)(y+x)

  =(x2+6x+8)(x2+5x+8)

  =(x+2)(x+4)(x2+5x+8).

 说明 由本题可知,用换元法分解因式时,不必将原式中的元都用新元代换,根据题目需要,引入必要的新元,原式中的变元和新变元可以一起变形,换元法的本质是简化多项式.

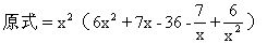
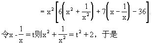
 例9 分解因式:6x4+7x3-36x2-7x+6.

 解法1 原式=6(x4+1)+7x(x2-1)-36x2

    =6[(x4-2x2+1)+2x2]+7x(x2-1)-36x2

    =6[(x2-1)2+2x2]+7x(x2-1)-36x2

    =6(x2-1)2+7x(x2-1)-24x2

    =[2(x2-1)-3x][3(x2-1)+8x]

    =(2x2-3x-2)(3x2+8x-3)

    =(2x+1)(x-2)(3x-1)(x+3).

 说明 本解法实际上是将x2-1看作一个整体,但并没有设立新元来代替它,即熟练使用换元法后,并非每题都要设置新元来代替整体.

 解法2

    

  

 原式=x2[6(t2+2)+7t-36]

  =x2(6t2+7t-24)=x2(2t-3)(3t+8)

  =x2[2(x-1/x)-3][3(x-1/x)+8]

  =(2x2-3x-2)(3x2+8x-3)

  =(2x+1)(x-2)(3x-1)(x+3).

 例10 分解因式:(x2+xy+y2)-4xy(x2+y2).

 分析 本题含有两个字母,且当互换这两个字母的位置时,多项式保持不变,这样的多项式叫作二元对称式.对于较难分解的二元对称式,经常令u=x+y,v=xy,用换元法分解因式.

 解 原式=[(x+y)2-xy]2-4xy[(x+y)2-2xy].令x+y=u,xy=v,则

 原式=(u2-v)2-4v(u2-2v)

  =u4-6u2v+9v2

  =(u2-3v)2

  =(x2+2xy+y2-3xy)2

  =(x2-xy+y2)2

练习一

试题详情

2.拆项、添项法

 因式分解是多项式乘法的逆运算.在多项式乘法运算时,整理、化简常将几个同类项合并为一项,或将两个仅符号相反的同类项相互抵消为零.在对某些多项式分解因式时,需要恢复那些被合并或相互抵消的项,即把多项式中的某一项拆成两项或多项,或者在多项式中添上两个仅符合相反的项,前者称为拆项,后者称为添项.拆项、添项的目的是使多项式能用分组分解法进行因式分解.

 例4 分解因式:x3-9x+8.

 分析 本题解法很多,这里只介绍运用拆项、添项法分解的几种解法,注意一下拆项、添项的目的与技巧.

 解法1 将常数项8拆成-1+9.

 原式=x3-9x-1+9

  =(x3-1)-9x+9

  =(x-1)(x2+x+1)-9(x-1)

  =(x-1)(x2+x-8).

 解法2 将一次项-9x拆成-x-8x.

 原式=x3-x-8x+8

  =(x3-x)+(-8x+8)

  =x(x+1)(x-1)-8(x-1)

  =(x-1)(x2+x-8).

 解法3 将三次项x3拆成9x3-8x3

 原式=9x3-8x3-9x+8

  =(9x3-9x)+(-8x3+8)

  =9x(x+1)(x-1)-8(x-1)(x2+x+1)

  =(x-1)(x2+x-8).

 解法4 添加两项-x2+x2

 原式=x3-9x+8

  =x3-x2+x2-9x+8

  =x2(x-1)+(x-8)(x-1)

  =(x-1)(x2+x-8).

 说明 由此题可以看出,用拆项、添项的方法分解因式时,要拆哪些项,添什么项并无一定之规,主要的是要依靠对题目特点的观察,灵活变换,因此拆项、添项法是因式分解诸方法中技巧性最强的一种.

 例5 分解因式:

 (1)x9+x6+x3-3;

 (2)(m2-1)(n2-1)+4mn;

 (3)(x+1)4+(x2-1)2+(x-1)4

 (4)a3b-ab3+a2+b2+1.

 解 (1)将-3拆成-1-1-1.

 原式=x9+x6+x3-1-1-1

  =(x9-1)+(x6-1)+(x3-1)

  =(x3-1)(x6+x3+1)+(x3-1)(x3+1)+(x3-1)

  =(x3-1)(x6+2x3+3)

  =(x-1)(x2+x+1)(x6+2x3+3).

 (2)将4mn拆成2mn+2mn.

 原式=(m2-1)(n2-1)+2mn+2mn

  =m2n2-m2-n2+1+2mn+2mn

  =(m2n2+2mn+1)-(m2-2mn+n2)

  =(mn+1)2-(m-n)2

  =(mn+m-n+1)(mn-m+n+1).

 (3)将(x2-1)2拆成2(x2-1)2-(x2-1)2

 原式=(x+1)4+2(x2-1)2-(x2-1)2+(x-1)4

  =[(x+1)4+2(x+1)2(x-1)2+(x-1)4]-(x2-1)2

  =[(x+1)2+(x-1)2]2-(x2-1)2

  =(2x2+2)2-(x2-1)2=(3x2+1)(x2+3).

 (4)添加两项+ab-ab.

 原式=a3b-ab3+a2+b2+1+ab-ab

  =(a3b-ab3)+(a2-ab)+(ab+b2+1)

  =ab(a+b)(a-b)+a(a-b)+(ab+b2+1)

  =a(a-b)[b(a+b)+1]+(ab+b2+1)

  =[a(a-b)+1](ab+b2+1)

  =(a2-ab+1)(b2+ab+1).

 说明 (4)是一道较难的题目,由于分解后的因式结构较复杂,所以不易想到添加+ab-ab,而且添加项后分成的三项组又无公因式,而是先将前两组分解,再与第三组结合,找到公因式.这道题目使我们体会到拆项、添项法的极强技巧所在,同学们需多做练习,积累经验.

试题详情


同步练习册答案