题目列表(包括答案和解析)

 0  79019  79027  79033  79037  79043  79045  79049  79055  79057  79063  79069  79073  79075  79079  79085  79087  79093  79097  79099  79103  79105  79109  79111  79113  79114  79115  79117  79118  79119  79121  79123  79127  79129  79133  79135  79139  79145  79147  79153  79157  79159  79163  79169  79175  79177  79183  79187  79189  79195  79199  79205  79213  447348 

1.运用公式法

 在整式的乘、除中,我们学过若干个乘法公式,现将其反向使用,即为因式分解中常用的公式,例如:

 (1)a2-b2=(a+b)(a-b);

 (2)a2±2ab+b2=(a±b)2

 (3)a3+b3=(a+b)(a2-ab+b2);

 (4)a3-b3=(a-b)(a2+ab+b2).

 下面再补充几个常用的公式:

 (5)a2+b2+c2+2ab+2bc+2ca=(a+b+c)2

 (6)a3+b3+c3-3abc=(a+b+c)(a2+b2+c2-ab-bc-ca);

 (7)an-bn=(a-b)(an-1+an-2b+an-3b2+…+abn-2+bn-1)其中n为正整数;

 (8)an-bn=(a+b)(an-1-an-2b+an-3b2-…+abn-2-bn-1),其中n为偶数;

 (9)an+bn=(a+b)(an-1-an-2b+an-3b2-…-abn-2+bn-1),其中n为奇数.

 运用公式法分解因式时,要根据多项式的特点,根据字母、系数、指数、符号等正确恰当地选择公式.

 例1 分解因式:

 (1)-2x5n-1yn+4x3n-1yn+2-2xn-1yn+4

 (2)x3-8y3-z3-6xyz;

 (3)a2+b2+c2-2bc+2ca-2ab;

 (4)a7-a5b2+a2b5-b7

 解 (1)原式=-2xn-1yn(x4n-2x2ny2+y4)

    =-2xn-1yn[(x2n)2-2x2ny2+(y2)2]

    =-2xn-1yn(x2n-y2)2

    =-2xn-1yn(xn-y)2(xn+y)2

 (2)原式=x3+(-2y)3+(-z)3-3x(-2y)(-Z)

    =(x-2y-z)(x2+4y2+z2+2xy+xz-2yz).

 (3)原式=(a2-2ab+b2)+(-2bc+2ca)+c2

   =(a-b)2+2c(a-b)+c2

   =(a-b+c)2

 本小题可以稍加变形,直接使用公式(5),解法如下:

 原式=a2+(-b)2+c2+2(-b)c+2ca+2a(-b)

  =(a-b+c)2

 (4)原式=(a7-a5b2)+(a2b5-b7)

    =a5(a2-b2)+b5(a2-b2)

    =(a2-b2)(a5+b5)

    =(a+b)(a-b)(a+b)(a4-a3b+a2b2-ab3+b4)

    =(a+b)2(a-b)(a4-a3b+a2b2-ab3+b4)

 例2 分解因式:a3+b3+c3-3abc.

 本题实际上就是用因式分解的方法证明前面给出的公式(6).

 分析 我们已经知道公式

(a+b)3=a3+3a2b+3ab2+b3

 的正确性,现将此公式变形为

a3+b3=(a+b)3-3ab(a+b).

 这个式也是一个常用的公式,本题就借助于它来推导.

 解 原式=(a+b)3-3ab(a+b)+c3-3abc

    =[(a+b)3+c3]-3ab(a+b+c)

    =(a+b+c)[(a+b)2-c(a+b)+c2]-3ab(a+b+c)

    =(a+b+c)(a2+b2+c2-ab-bc-ca).

 说明 公式(6)是一个应用极广的公式,用它可以推出很多有用的结论,例如:我们将公式(6)变形为

 a3+b3+c3-3abc

 

  

 显然,当a+b+c=0时,则a3+b3+c3=3abc;当a+b+c>0时,则a3+b3+c3-3abc≥0,即a3+b3+c3≥3abc,而且,当且仅当a=b=c时,等号成立.

 如果令x=a3≥0,y=b3≥0,z=c3≥0,则有

 等号成立的充要条件是x=y=z.这也是一个常用的结论.

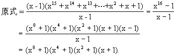
 例3 分解因式:x15+x14+x13+…+x2+x+1.

 分析 这个多项式的特点是:有16项,从最高次项x15开始,x的次数顺次递减至0,由此想到应用公式an-bn来分解.

 解 因为

 x16-1=(x-1)(x15+x14+x13+…x2+x+1),

 所以

 

 说明 在本题的分解过程中,用到先乘以(x-1),再除以(x-1)的技巧,这一技巧在等式变形中很常用.

试题详情

3.用待定系数法分解因式:

 (1)2x2+3xy-9y2+14x-3y+20;

 (2)x4+5x3+15x-9.

本资料由《七彩教育网》 提供!

试题详情

2.用求根法分解因式:

 (1)x3+x2-10x-6;

 (2)x4+3x3-3x2-12x-4;

 (3)4x4+4x3-9x2-x+2.

试题详情

1.用双十字相乘法分解因式:

 (1)x2-8xy+15y2+2x-4y-3;

 (2)x2-xy+2x+y-3;

 (3)3x2-11xy+6y2-xz-4yz-2z2

试题详情

3.待定系数法

 待定系数法是数学中的一种重要的解题方法,应用很广泛,这里介绍它在因式分解中的应用.

 在因式分解时,一些多项式经过分析,可以断定它能分解成某几个因式,但这几个因式中的某些系数尚未确定,这时可以用一些字母来表示待定的系数.由于该多项式等于这几个因式的乘积,根据多项式恒等的性质,两边对应项系数应该相等,或取多项式中原有字母的几个特殊值,列出关于待定系数的方程(或方程组),解出待定字母系数的值,这种因式分解的方法叫作待定系数法.

 例4 分解因式:x2+3xy+2y2+4x+5y+3.

 分析 由于

 (x2+3xy+2y2)=(x+2y)(x+y),

 若原式可以分解因式,那么它的两个一次项一定是x+2y+m和x+y+n的形式,应用待定系数法即可求出m和n,使问题得到解决.

 解 设

 x2+3xy+2y2+4x+5y+3

 =(x+2y+m)(x+y+n)

 =x2+3xy+2y2+(m+n)x+(m+2n)y+mn,

 比较两边对应项的系数,则有

 解之得m=3,n=1.所以

原式=(x+2y+3)(x+y+1).

 说明 本题也可用双十字相乘法,请同学们自己解一下.

 例5 分解因式:x4-2x3-27x2-44x+7.

 分析 本题所给的是一元整系数多项式,根据前面讲过的求根法,若原式有有理根,则只可能是±1,±7(7的约数),经检验,它们都不是原式的根,所以,在有理数集内,原式没有一次因式.如果原式能分解,只能分解为(x2+ax+b)(x2+cx+d)的形式.

 解 设

 原式=(x2+ax+b)(x2+cx+d)

  =x4+(a+c)x3+(b+d+ac)x2+(ad+bc)x+bd,

 所以有

 由bd=7,先考虑b=1,d=7有

  

 所以

 原式=(x2-7x+1)(x2+5x+7).

 说明 由于因式分解的唯一性,所以对b=-1,d=-7等可以不加以考虑.本题如果b=1,d=7代入方程组后,无法确定a,c的值,就必须将bd=7的其他解代入方程组,直到求出待定系数为止.

 本题没有一次因式,因而无法运用求根法分解因式.但利用待定系数法,使我们找到了二次因式.由此可见,待定系数法在因式分解中也有用武之地.

练习二

试题详情

2.求根法

 我们把形如anxn+an-1xn-1+…+a1x+a0(n为非负整数)的代数式称为关于x的一元多项式,并用f(x),g(x),…等记号表示,如

 f(x)=x2-3x+2,g(x)=x5+x2+6,…,

 当x=a时,多项式f(x)的值用f(a)表示.如对上面的多项式f(x)

 f(1)=12-3×1+2=0;

 f(-2)=(-2)2-3×(-2)+2=12.

 若f(a)=0,则称a为多项式f(x)的一个根.

 定理1(因式定理) 若a是一元多项式f(x)的根,即f(a)=0成立,则多项式f(x)有一个因式x-a.

 根据因式定理,找出一元多项式f(x)的一次因式的关键是求多项式f(x)的根.对于任意多项式f(x),要求出它的根是没有一般方法的,然而当多项式f(x)的系数都是整数时,即整系数多项式时,经常用下面的定理来判定它是否有有理根.

 定理2

 

 的根,则必有p是a0的约数,q是an的约数.特别地,当a0=1时,整系数多项式f(x)的整数根均为an的约数.

 我们根据上述定理,用求多项式的根来确定多项式的一次因式,从而对多项式进行因式分解.

 例2 分解因式:x3-4x2+6x-4.

 分析 这是一个整系数一元多项式,原式若有整数根,必是-4的约数,逐个检验-4的约数:±1,±2,±4,只有

 f(2)=23-4×22+6×2-4=0,

 即x=2是原式的一个根,所以根据定理1,原式必有因式x-2.

 解法1 用分组分解法,使每组都有因式(x-2).

 原式=(x3-2x2)-(2x2-4x)+(2x-4)

  =x2(x-2)-2x(x-2)+2(x-2)

  =(x-2)(x2-2x+2).

 解法2 用多项式除法,将原式除以(x-2),

 所以

原式=(x-2)(x2-2x+2).

 说明 在上述解法中,特别要注意的是多项式的有理根一定是-4的约数,反之不成立,即-4的约数不一定是多项式的根.因此,必须对-4的约数逐个代入多项式进行验证.

 例3 分解因式:9x4-3x3+7x2-3x-2.

 分析 因为9的约数有±1,±3,±9;-2的约数有±1,±

为:

 所以,原式有因式9x2-3x-2.

 解 9x4-3x3+7x2-3x-2

  =9x4-3x3-2x2+9x2-3x-2

  =x2(9x3-3x-2)+9x2-3x-2

  =(9x2-3x-2)(x2+1)

  =(3x+1)(3x-2)(x2+1)

 说明 若整系数多项式有分数根,可将所得出的含有分数的因式化为整系数因式,如上题中的因式

 可以化为9x2-3x-2,这样可以简化分解过程.

 总之,对一元高次多项式f(x),如果能找到一个一次因式(x-a),那么f(x)就可以分解为(x-a)g(x),而g(x)是比f(x)低一次的一元多项式,这样,我们就可以继续对g(x)进行分解了.

试题详情

1.双十字相乘法

 分解二次三项式时,我们常用十字相乘法.对于某些二元二次六项式(ax2+bxy+cy2+dx+ey+f),我们也可以用十字相乘法分解因式.

 例如,分解因式2x2-7xy-22y2-5x+35y-3.我们将上式按x降幂排列,并把y当作常数,于是上式可变形为

2x2-(5+7y)x-(22y2-35y+3),

 可以看作是关于x的二次三项式.

 对于常数项而言,它是关于y的二次三项式,也可以用十字相乘法,分解为

 即

 -22y2+35y-3=(2y-3)(-11y+1).

  再利用十字相乘法对关于x的二次三项式分解

 所以

 原式=[x+(2y-3)][2x+(-11y+1)]

  =(x+2y-3)(2x-11y+1).

 上述因式分解的过程,实施了两次十字相乘法.如果把这两个步骤中的十字相乘图合并在一起,可得到下图:

 它表示的是下面三个关系式:

 (x+2y)(2x-11y)=2x2-7xy-22y2

 (x-3)(2x+1)=2x2-5x-3;

 (2y-3)(-11y+1)=-22y2+35y-3.

 这就是所谓的双十字相乘法.

 用双十字相乘法对多项式ax2+bxy+cy2+dx+ey+f进行因式分解的步骤是:

 (1)用十字相乘法分解ax2+bxy+cy2,得到一个十字相乘图(有两列);

 (2)把常数项f分解成两个因式填在第三列上,要求第二、第三列构成的十字交叉之积的和等于原式中的ey,第一、第三列构成的十字交叉之积的和等于原式中的dx.

 例1 分解因式:

 (1)x2-3xy-10y2+x+9y-2;

 (2)x2-y2+5x+3y+4;

 (3)xy+y2+x-y-2;

 (4)6x2-7xy-3y2-xz+7yz-2z2

 解 (1)

 原式=(x-5y+2)(x+2y-1).

 (2)

 原式=(x+y+1)(x-y+4).

 (3)原式中缺x2项,可把这一项的系数看成0来分解.

 原式=(y+1)(x+y-2).

 (4)

 原式=(2x-3y+z)(3x+y-2z).

 说明 (4)中有三个字母,解法仍与前面的类似.

试题详情

蚊子与牛一样重

从前有一只骄傲的蚊子,总认为自己的体重和牛是一样重。有一天,它找到了牛,并说出了体重一样的理由。它认为,可以设自己的体重为a,牛的体重为b,则有:

a2-2ab+b2=b2-2ab+a2

左右两边分别化为:(a-b)2=(b-a)2

从而就有:a-b=b-a

移项,得:2a=2b,

即a=b

蚊子骄傲地把自己的理由说完,牛睁大了眼睛,听傻了!

请同学们想一想,牛和蚊子的体重真的会一样吗?若不一样,那么蚊子的证明究竟错在哪里呢?

试题详情

在一次火灾中,大约有2.5×105人无家可归,假如一顶帐篷占地100m2,可以安置40个床位。为了安置所有无家可归的人,需要多少顶帐篷?这些帐篷大约占地多少平方米?估计你校的操场中可以安置多少人?要安置这些人,大约需要多少个这样的操场?

试题详情

2、求证:1111-1110-119=119×109

试题详情


同步练习册答案