题目列表(包括答案和解析)

 0  93250  93258  93264  93268  93274  93276  93280  93286  93288  93294  93300  93304  93306  93310  93316  93318  93324  93328  93330  93334  93336  93340  93342  93344  93345  93346  93348  93349  93350  93352  93354  93358  93360  93364  93366  93370  93376  93378  93384  93388  93390  93394  93400  93406  93408  93414  93418  93420  93426  93430  93436  93444  447348 

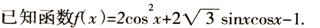
19.(本小题满分12分)

 (I)当x∈[0,]时,求的值域;

(Ⅱ)用“五点法”在给定的坐标系中作出在长度为一个周期的闭区间上的简图.

试题详情

18.(本小题满分12分)      

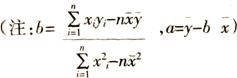
某车问为了规定工时定额,需要确定加工零件所花费的时间.为此作了四次试验,得到的数据如下:

 零件的个数x(个)
  2
  3
  4
  5
 加工的时间y(小时)
  2.5
  3
  4
 4.5

(I)在给定的坐标系中画出表中数据的散点图;

(Ⅱ)求出y关于石的线性回归方程多=6戈托;

(Ⅲ)试预测加工10个零件需要多少时间? 。     

试题详情

17.(本小题满分12分)

已知tanx=2,求下列各式的值:

试题详情

16.关于平面向量a,b,c,有下列三个命题:

     

其中真命题的序号为              

试题详情

15.已知圆的半径为2,圆心在x轴的正半轴上,且圆与直线3算3x+4y+4=0相切,则圆的标准方程是               

试题详情

题中横线上.

     

14.统计某校1000名学生的数学会考成绩,得到样本频率分布直方图如右图,规定不低于60分为及格,不低于80分为优秀,则及格人数是        ;优秀率为       

试题详情

2009.7

第Ⅱ卷 (非选择题共90分)

  第Ⅱ卷共6页,用钢笔或圆珠笔直接答在试题卷中,答卷前将密封线内的项目填写清楚.

试题详情

12.曲线y=在区间[0,]上截直线y=2及y=-1,所得的弦长相等且不为0,则下列对A,a的描述正确的是     

临沂市高一下学期模块考试 .

数 学  

试题详情

11.已知RtABC的斜边BC=5,

(A)16    (B)-16    (C)25    (D)-25

试题详情

10.如图所示的程序框图输出的结果是

(A)3/4

(B)4/5

(C)5/6

(D)6/7

试题详情


同步练习册答案