0  125497  125505  125511  125515  125521  125523  125527  125533  125535  125541  125547  125551  125553  125557  125563  125565  125571  125575  125577  125581  125583  125587  125589  125591  125592  125593  125595  125596  125597  125599  125601  125605  125607  125611  125613  125617  125623  125625  125631  125635  125637  125641  125647  125653  125655  125661  125665  125667  125673  125677  125683  125691  447090 

35.玮玮在观察提琴、吉他、二胡等弦乐器的弦振动时,猜测:即使在弦张紧程度相同的条件下发声的音调高低还可能与弦的粗细、长短及弦的材料有关。于是她想通过实验来探究一下自己的猜想是否正确。下表是她在实验时控制的琴弦条件。

控制因素
编号
琴弦的
材料
琴弦的
长度/cm
琴弦的横
截面积
/mm2
A

20
0.3
B

20
0.7
C
尼龙丝
30
0.5
D

40
0.5
E
尼龙丝
40
0.5

   (1)如果玮玮想探究弦发声的音调与弦的材料的关系,你认为她应该选用表中编号为__________的琴弦(只填字母代号)。

   (2)在上述探究过程中,总要控制某些因素,使它们保持不变,进而寻找出另外一些因素的关系,这种研究方法叫做“控制变量法”。如果选用A.B编号的两种琴弦做实验探究,则控制的变量是琴弦的_______和     ,想探究的问题是弦发声的音调与弦的     的关系。

(3)探究过程通常采用下列一些步骤:①实验研究;②分析归纳;③提出问题(或猜想);④得出结论等。你认为玮玮要完成本探究的全过程,所采取步骤的合理顺序应该是:________(只填写数字代号).

试题详情

34.请你用简洁的语言解释漫画系列图14甲中出现的现象,并指出图14乙的某厂家招贴画中出现的一处科学性错误:          

甲图:                        

乙图:                       

试题详情

33.小芳用数码相机在郊外拍得一张照片如图13所示

请你观察照片中的情景,指出一个物理现象:                  

该现象所涉及的物理知识是       

试题详情

32.在下图方框中填上合适的透镜或面镜。

试题详情

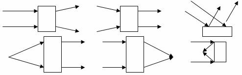
31.把下列光路图补充完整。

试题详情

30.小明用薄膜、两个可以伸缩的纸筒.以及凸透镜制作了模型照相机,用它来观察我们周围的景物,有以下几种说法:(1)薄膜上出现的像是倒立的。(2)观察时,我们应该把薄膜对着景物,眼睛靠近凸透镜进行观察(3)由观察远处的景物到观察近处的景物时,应该把纸筒拉长。(4)白天,当我们在阳台上用自制照相机对着教室内观察像时,发现像很暗。这四种说法正确的是(   )

A.(!)(2)(3)(4)             B.(1)(2)(4) 

C.(1)(3)                 D.(1)(3)(4)

试题详情

29.放幻灯时,要想使银幕上出现清晰的“F”字母,那么下图中幻灯片的正确插法应是(    )

试题详情

28.用洗衣机将衣服脱水甩干时,因衣服没有放好,引起洗衣机剧烈振动而发出噪声,此时应该采取的措施是(    )

  A.关上房门不管                B.关停洗衣机,用手拧干算了

C.戴上耳塞不理                D.先停机,将衣服重新摆放好再脱水

试题详情

27.1994年,苏梅尔-列维彗星裂成二十多块碎片撞向木星,产生了巨大的爆炸,但是身处地球的人们却没有听到一丝的声响,这是因为:(    )

A.彗星的碎片太小,没分量         B.爆炸产生的声音很弱,听不见

C.太空是理想的真空,不传声        D.木星离地球太远,听不到

试题详情


同步练习册答案