0  127098  127106  127112  127116  127122  127124  127128  127134  127136  127142  127148  127152  127154  127158  127164  127166  127172  127176  127178  127182  127184  127188  127190  127192  127193  127194  127196  127197  127198  127200  127202  127206  127208  127212  127214  127218  127224  127226  127232  127236  127238  127242  127248  127254  127256  127262  127266  127268  127274  127278  127284  127292  447090 

20.(本题满分10分)某商场正在热销2008年北京奥运会吉祥物“福娃”玩具和徽章两种奥运商品,根据图中提供的信息,求一盒“福娃”玩具和一枚徽章的价格.

试题详情

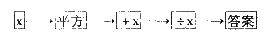
19.(本题满分6分)按下列程序计算,把答案填在表格内,然后看看有什么规律,想想为什么会有这个规律.

(1)填写表内空格:

输入x
 3
 2
-2
 
….
输出答案
 
 
 
 
….

(2)发现的规律是:_____________________.

(3)用简要的过程证明你发现的规律.

试题详情

18.(本题满分6分)如图,a、b、c是数轴上三个点A、B、C所对应的实数.

     试化简: +|a-b|+-|b+c|.

试题详情

17.如图,电灯P在横杆AB的正上方,AB在灯光下的影子为CD,AB//CD,AB=2m,CD=5m,点P到CD的距离为3m,则点P到AB的距离为:________.

试题详情

16.已知二次函数的图像开口向上,且顶点在y轴的负半轴上,请你写出一个满足条   件的二次函数的解析式__________.

试题详情

15.如图中的三个正方形边长都相等,其中的阴影部分面积相等吗?________.(填“相等”或“不相等”)

试题详情

14.如图,要给这个长、宽、高分别为x、y、z的箱子打包,其打包方式如图所示,则打包带的长至少要____________.(用x、y、z的代数式表示)

 

试题详情

13.若a,b都是无理数,且a+b=2,则a、b的值可以是:_______.(填上一组满足条件的值即可)

试题详情

12.如图,⊙ A、⊙B、⊙C、⊙D相互外离,它们的半径都是1,顺次连结四个圆心得到四边形ABCD,则图中四个扇形(阴影部分)的面积之和为:

A.         B.1.5         C. 2.      D.5

试题详情

11.如图,有一等腰直角三角形纸片,以它的对称轴为折痕,将三角形对折,得到的三角形还是等腰直角三角形,仿照上述方法将原等腰直角三角形折叠四次,所得小等腰直角三角形的周长是原等腰直角三角形周长的:

A.        B.         C.        D.

试题详情


同步练习册答案