0  131798  131806  131812  131816  131822  131824  131828  131834  131836  131842  131848  131852  131854  131858  131864  131866  131872  131876  131878  131882  131884  131888  131890  131892  131893  131894  131896  131897  131898  131900  131902  131906  131908  131912  131914  131918  131924  131926  131932  131936  131938  131942  131948  131954  131956  131962  131966  131968  131974  131978  131984  131992  447090 

7.甲、乙两盒中分别放入编号为1、2、3、4的形状相同的4个小球,从甲盒中任意摸出一球,再从乙盒中任意摸出一球,将两球编号数相加得到一个数,则得到数(   )的概率最大.

A.3           B.4           C.5           D.6

试题详情

6.关于的方程有实数根,则整数的最大值是(   )

A.6           B.7           C.8           D.9

试题详情

5.某班50名同学分别站在公路的AB两点处,AB两点相距1000米,A处有30人,B处有20人,要让两处的同学走到一起,并且使所有同学走的路程总和最小,那么集合地点应选在(   )

A.A点处                            B.线段的中点处

C.线段上,距A米处         D.线段上,距A点400米处

试题详情

4.已知关于的一元二次方程的两个实数根是,且,则的值是(   )

A.8               B.             C.6               D.5

试题详情

3.太阳内部高温核聚变反应释放的辐射能功率为千瓦,到达地球的仅占20亿分之一,到达地球的辅射能功率为(   )千瓦.(用科学计数法表示,保留2个有效数字)

A.        B.        C.           D.

试题详情

2.一个自然数的算术平方根为,则和这个自然数相邻的下一个自然数是(   )

A.           B.           C.         D.

试题详情

1.下列运算正确的是(   )

A.       B.      C.       D.

试题详情

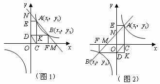
25.(12分)

一次函数的图象分别与轴、轴交于点,与反比例函数的图象相交于点.过点分别作轴,轴,垂足分别为;过点分别作轴,轴,垂足分别为交于点,连接

(1)若点在反比例函数的图象的同一分支上,如图1,试证明:

(2)若点分别在反比例函数的图象的不同分支上,如图2,则还相等吗?试证明你的结论.

试题详情

24.(11分)

如下图,在直角坐标系中,点的坐标分别为,过三点的抛物线的对称轴为直线为对称轴上一动点.

v

(1)求抛物线的解析式;

(2)求当最小时点的坐标;

(3)以点为圆心,以为半径作

①证明:当最小时,直线相切.

②写出直线相切时,点的另一个坐标:___________.

试题详情

23.(10分)

如图1,在正方形中,分别为边上的点,,连接交点为

(1)如图2,连接,试判断四边形的形状,并证明你的结论;

(2)将正方形沿线段剪开,再把得到的四个四边形按图3的方式拼接成一个四边形.若正方形的边长为3cm,,则图3中阴影部分的面积为_________

试题详情


同步练习册答案