0  131769  131777  131783  131787  131793  131795  131799  131805  131807  131813  131819  131823  131825  131829  131835  131837  131843  131847  131849  131853  131855  131859  131861  131863  131864  131865  131867  131868  131869  131871  131873  131877  131879  131883  131885  131889  131895  131897  131903  131907  131909  131913  131919  131925  131927  131933  131937  131939  131945  131949  131955  131963  447090 

24.(本题满分10分)

如图1,是美国总统Garfield于1876年给出的一种验证勾股定理的办法。Rt△ACB与Rt△DEB全等,点CB、E共线,连接AD,可以证明△ABD是等腰三角形。如图2,Rt△ACB与Rt△DEB全等,点CB、E共线,连接AD,交BC于点F,请你找出图2中的所有等腰直角三角形(不再添加线,不再添加字母),并给出证明。

试题详情

23.(本题满分8分)

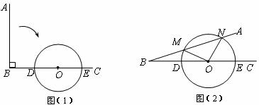
如图(1),∠ABC=90°,O为射线BC上一点,OB = 4,以点O为圆心,BO长为半径作⊙OBC于点DE

(1)当射线BA绕点B按顺时针方向旋转多少度时与⊙O相切?请说明理由.

(2)若射线BA绕点B按顺时针方向旋转与⊙O相交于MN两点(如图(2)),MN=,求的长.

试题详情

22.(本题满分8分)

河岸边有一根电线杆AB(如下图),河岸距电线杆AB水平距离是14米,即BD=14米,该河岸的坡面CD的坡度,岸高CF为2米,在坡顶C处测得杆顶A的仰角为30°,DE之间是宽2米的人行道,请你通过计算说明在拆除电线杆AB时,为确保安全,是否将此人行道封上?(提示:在地面上以点B为圆心,以AB长为半径的圆形区域为危险区域,)

试题详情

21.(本题满分8分)

某渔民准备承包一块正方形水域围网养鱼,通过调查得知:在该正方形水域四周的围网费用平均每千米0.25万元,上交承包费、购买鱼苗、饲料和鱼药等开支每平方千米需0.5万元。政府为鼓励渔民发展水产养殖,每位承包户补贴0.5万元.预计每平方千米养的鱼可售得4.5万元.若该渔民期望养鱼当年获得净收益3.5万元,你应建议该渔民承包多大面积的水域?

试题详情

20.(本题满分8分)

已知二次函数时,都有

时,的值都是正整数,且

求二次函数的解析式

试题详情

19.(本题满分6分)

小王、小李和小林三人准备打乒乓球,他们约定用“抛硬币”的方式来确定哪两个人先上场,三人手中各持有一枚质地均匀的硬币,同时将手中硬币抛落到水平地面为一个回合。落地后,三枚硬币中,恰有两枚正面向上或者反面向上的两人先上场;若三枚硬币均为正面向上或反面向上,属于不能确定。

    (1)请你完成下图中表示“抛硬币”一个回合所有可能出现的结果的树状图;

(2)求一个回合能确定两人先上场的概率.

试题详情

18.(本题满分6分)

,并将其解集在数轴上表示出来.

试题详情

17.如图,DE的中位线,MDE的中点,CM的延长线交ABN,那么=_________________.

试题详情

16.已知是正整数,()是反比例函数图象上的一列点,其中,…,;记,…,;若,则的值是______________.

试题详情

15.一项调查统计情况如图所示,本次抽样的样本容量是__________.图中c=_________.若被调查的对象占总体数的20%,请根据样本估计总体中A类对应的数值为    

试题详情


同步练习册答案