0  139541  139549  139555  139559  139565  139567  139571  139577  139579  139585  139591  139595  139597  139601  139607  139609  139615  139619  139621  139625  139627  139631  139633  139635  139636  139637  139639  139640  139641  139643  139645  139649  139651  139655  139657  139661  139667  139669  139675  139679  139681  139685  139691  139697  139699  139705  139709  139711  139717  139721  139727  139735  447090 

8、建设节约型社会人人有责,下列节约行为中合理可行的是

A、直接用工厂排出的废水灌溉农田

B、吃经高温蒸煮后的霉变大米

C、把用剩的药品放回原试剂瓶

D、用淘菜、洗衣服的水冲厕所

试题详情

7、生活中我们经常看到下列现象,其中发生了化学变化的是

A、潮湿的衣服日晒变干        B、瓷碗破碎

C、食物变馊             D、石蜡熔化

试题详情

23、小红同学为了测定某石灰石中碳酸钙的质量分数(杂质不与酸反应),向12.0g石灰石样品中逐滴加入稀盐酸至不再产生气泡为止,共生成气体4.44L(该条件下气体的密度为0.997g/L)。试计算:

  (1)该反应生成的二氧化碳的质量为    g;

  (2)该石灰石样品中碳酸钙的质量分数为多少?

(3)若要计算上述反应所消耗盐酸溶液的质量,题中还缺少的数据是         

试题详情

22、下图是实验室制取气体的一些装置,据图回答有关问题。(填序号)

(1)写出一个初中化学中用装置D制气体的化学方程式            收集此气体可选用的一种装置是      ,利用该装置还能够收集的一种气体     

(2)实验室在常温下用块状电石与水反应制取微溶于水的乙炔气体,该反应必须严格控制加水速度,以免剧烈反应引起发生装置炸裂。你认为上图中最合适制取乙炔气体的发生装置是    ;如果用右图所示装置收集乙炔,气体应从   (填“a”或“b”)端管口通入。

(3)实验室要制取氢气选用    装置,收集该气体选用     装置。

试题详情

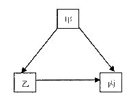
21、甲、乙、丙是初中化学中常见的物质,其转化关系如上图所示:

  (1)若甲、乙组成元素相同,甲、乙、丙中有一种物质为水,即甲为(填化学式)     ;  实验室制丙的化学方程式为     (写出一种)

  (2)若甲、乙、丙都含有三种元素,甲、乙、丙的相对分子质量依次增大,其中一种物质广泛用玻璃、造纸、纺织和洗涤剂的生产。由甲到乙反应的化学方程式为        乙也可以转化成甲,其反应的化学方程式为           

试题详情

20、根据图1和图2回答问题:

  (1)在t1℃时,等质量的甲、乙两种固体物质在水中的溶解现象如图1所示,要使剩余的甲固体继续溶解可采用的方法是                

  (2)图2中a、b分别表示上述两种物质的溶解度曲线,在   ℃时,这两种物质的溶解度相等;a表示的是    物质(填“甲”或“乙”)的溶解度曲线。

试题详情

19、软水、硬水、白醋、酒精都是常见的无色液体,它们的外观非常相似,其中:

(1)pH小于7的是  

(2)具有特殊气味的是   

(3)区别硬水和软水,可以加入的试剂是  

(4)生活中将硬水转化为软水,最常用的方法是        

试题详情

18、化学为人类创造了巨大的财富。化学家正在研究利用太阳能来引发某些化学反应,如:

请回答:

(1)化学方程式中X的数值是  

(2)该反应能证明水是由    元素组成的

(3)该反应所属的基本反应类型是    

(4)该反应的生成物中,      可作理想的清洁能源。

试题详情

17、在H、He、C、N、Fe五种元素中,选择适当的元素组成符合下列要求的物质。

(1)可用作燃料的最简单的有机物是    

(2)空气中含量占第二位的元素和上述元素中的金属元素形成化合物的化学式是       (3)可用于填充探空气球和作焊接金属保护气的物质是   

(4)充入食品包装袋中可防腐的单质  

试题详情

16、请用化学符号表达图示意义(表示氢原子,表示氧原子)

          

          

         

试题详情


同步练习册答案