0  174463  174471  174477  174481  174487  174489  174493  174499  174501  174507  174513  174517  174519  174523  174529  174531  174537  174541  174543  174547  174549  174553  174555  174557  174558  174559  174561  174562  174563  174565  174567  174571  174573  174577  174579  174583  174589  174591  174597  174601  174603  174607  174613  174619  174621  174627  174631  174633  174639  174643  174649  174657  447090 

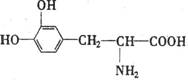
29.(15分)L-多巴是一种有机物,它可用于帕·金森综合症的治疗,其结构如下: 

  

⑴该物质具有什么性质_________________

A.只有酸性   B.只有碱性   C.既有酸性又有碱性

⑵若L-多巴分子中的 被氢原子取代,则得到分子,

下面是一部分同分异构体,请在横线上再补充两种同分异构体,它们要具有

    、-NH2官能团。

问:①的反应类型是__________________

由A生成B的化学方程式是________________________________

②的化学方程式是____________________________________

试题详情

28.(22分)中学化学,需要掌握12种常用气体的实验室制备。下图的第一个装置可制备10种气体。由于该装置不需加热,创新性强,问题覆盖面宽,实验设计现象明显,应用广泛,是各类考试命题的热点。其中甲和乙是制气发生装置,丙是除杂装置或反应装置,丁(1)或丁(2)是反应装置或尾气吸收装置。

  (1)如甲为CH3COOH溶液,乙为CaCO3,丙为饱和NaHCO3溶液,丁(1)为ONa溶液或Na2SiO3溶液,则丁(1)中现象是变浑浊。由此可证明____________________(填一种性质顺序)

  (2)欲设计实验证明氧化性:KMnO4>Cl2>I2,其中丁(1)是尾气处理装置,则丙中溶液是__________,丁(1)化学方程式为__________________。

  (3)如甲中为70%浓H2SO4,乙为Na2SO3固体,丁(2)是尾气处理装置。

a.欲证明SO2有漂白性,则丙为_________溶液,丁(2)为________溶液。

b.欲证明SO2有还原性,则丙为_________溶液。

c.欲证明SO2有氧化性,则丙中现象为淡黄色沉淀,则丙为________溶液。

  (4)欲用电石制取C2H2并除去含有的H2S杂质,同时证明乙炔的不饱和性,则丙中是过量的________溶液,丁(1)中方程式为_______________________。

  (5)欲制取NH3,乙为CaO,丙为AgNO3溶液,丁(2)为H2SO4溶液,则制取氨气的化学方程式为______________________,丙中现象为_____________。

  (6)欲制取O2,丙为FeSO4的酸性溶液和KSCN溶液,丁不需要,则丙中氧化反应的离子方程式为______________________,现象为_________________。

试题详情

27.(11分)有A、B、C、D、E、F,他们有可能是MgSO4、BaCl2、(NH4)2CO3、AgNO3、HBr、NaOH溶液。现两两混合,如下表。“-”表示无任何现象,空白处表示未做实验。“↓”表示沉淀,微溶物按难溶处理。

 
A
B
C
D
E
F
A
-
- 

 
-

B 
-
-

 
-
-
C


-



D
 
 

-


E
-
-


-

F

-



-

则A:___ B:____C:____ D:____ E:____ F:____(不确定者可以不填)欲确定_______,可用已鉴定出的_____(填化学式)来滴定。现象及结论是_______________________

试题详情

26.(12分)

  (1)将10g复盐 CuSO4·X(NH4)2SO4·YH2O加到过量的NaOH溶液中,加热,生成的氨用100ml 0.5mol/LH2SO4吸收,多余的H2SO4用2mol/LNaOH溶液滴定,用去NaOH溶液25ml。已知复盐中SO42的质量分数为48%,计算复盐中Cu2+和NH4+的质量分数,以及X和Y的值.

  (2)有P4 、CuSO4、H3PO4 H2SO4、Cu3P 、H2O六种物质,其中P4 、CuSO4均有毒。试以P4 、CuSO4为主要反应物,写一方程式并配平。

试题详情

13.关于苯丙烯酸(CH=CH COOH)的叙述正确的是                   (   )

    A.一定条件下,1 mol它能和4 mol H2或1 mol Br2水发生加成反应。

    B.等物质的量的它分别与足量的Na和NaHCO3反应,生成H2和CO2的物质的量之比是1:1

    C.它的含有苯环的同分异构体中,能发生银镜反应的有3种

    D.它及其含苯环的同分异构体都不能发生水解反应,但可发生取代反应和加聚反应

20090601
 
第Ⅱ卷(非选择题 共174分)

试题详情

12.已知下列各酸碱溶液的物质的量浓度相同,体积也相同,按下述情况进行混合:①稀HNO3和NaOH混合;②稀盐酸和氨水混合;③稀盐酸和石灰水混合;④稀硫酸和氢氧化钾混合;⑤CH3COOH和NaOH混合。在混合后所得溶液中,pH由小到大排列顺序正确的是                                           (   )

    A.④<①<②<⑤<③            B.②<①<④<③<⑤

    C.④<②<①<⑤<③            D.②<④<①<③<⑤

试题详情

11.一定量的某混合气体在密闭容器中发生如下反应:

m A(g) + n B(g)  pC(g),当反应达到平衡时,测得B的浓度为1 mol·L-1;若将平衡气体的体积缩小到原来的1/2,重新达到平衡时,B的浓度为1.8 mol·L-1(温度保持不变)。下列判断可能正确的是        (   )

A.m=1,n=2,p=3                B.m=1,n=3,p=2 

    C.m=1,n=1,p=3                D.m=2,n=1,p=4

试题详情

10.有短周期的五种元素A、B、D、E、F,其原子序数依次递增。其中D单质能分别与A、F两种单质按物质的量之比1:3完全反应。E单质能分别与B、D单质形成多种化合物。其中有两种化合物均为三原子分子,其分子中电子总数巧合,相对分子质量亦巧合。以下说法不正确的是                                  (   )

A.B元素的单质能与它下一周期的同族元素的氧化物发生置换反应

B.E元素的单质能与它下一周期的同族元素的氢化物发生置换反应

C.F元素的单质能与B元素的最高价氧化物发生置换反应

D.B元素的单质既有分子晶体,又有原子晶体,其单质均不能导电

试题详情

9.将铁棒与石墨棒用导线连接后浸入0.01  mol·L-1食盐溶液中,可能出现的现象是(   )

    A.铁棒附近产生OH-               B.铁棒被腐蚀

    C.石墨棒上放出Cl2               D.石墨棒上放出O2

试题详情

8.下列离子方程式不正确的是                                        (   )

    A.澄清的石灰水中通入过量的CO2:OH-+CO2====HCO3-

    B.稀硫酸和氢氧化钡溶液反应:H++SO42-+Ba2++OH-=====BaSO4↓+H2O

    C.氯化铁溶液跟过量氨水反应:Fe3++3NH3·H2O=====Fe(OH)3↓+3NH4+

    D.硝酸亚铁溶液中滴加稀盐酸:3 Fe2++NO3-+4H+=====3Fe3++NO↑+2 H2O

试题详情


同步练习册答案