0  250779  250787  250793  250797  250803  250805  250809  250815  250817  250823  250829  250833  250835  250839  250845  250847  250853  250857  250859  250863  250865  250869  250871  250873  250874  250875  250877  250878  250879  250881  250883  250887  250889  250893  250895  250899  250905  250907  250913  250917  250919  250923  250929  250935  250937  250943  250947  250949  250955  250959  250965  250973  447090 

29.用如图所示滑轮组将一物体匀速提高2m,已知拉力大小恒为60N,

方向总保持竖直向上,动滑轮的质量为3kg,绳重和摩擦均不计。求:

(1)物体所受重力;

(2)该滑轮组在此过程中的机械效率(保留1位小数)。

试题详情

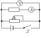
28.如图所示,电源电压U=18V,当滑动变阻器的滑片P移至最左端时,小灯泡L正常发光,电流表的示数为0.5A; 当滑片P

至中点时,电流表的示数变为0.25A。

求:(1)小灯泡的额定功率;

(2)滑动变阻器的最大阻值。

试题详情

27.给你一只标有“10Ω 0.3A”的定值电阻和一只标有“30Ω 0.6A”的滑动变阻器,在保证所有电路元件安全的前提下,若串联接入电路,则电路中允许通过的最大电流为    A,它们两端允许加的最大电压为    V。

试题详情

26.2008年6月3日至5日奥运火炬“祥云”在我省传递。 “祥云”火炬设计很精美,高度为72cm,质量为985g,燃烧时间可达15min,无风条件下火焰高度25cm至30cm,能在强光和日光下识别和拍摄。若火炬手们在传递过程中以3m/s的速度沿直线匀速慢跑,则在一支火炬的燃烧时间内运动员至多能跑       m;若某火炬手将火炬举在同一高度跑了100m,则他对火炬做的功是      J 。

试题详情

25.美丽的柳叶湖是常德市的一颗明珠,她不仅以其旖旎

的风光令人们留恋忘返,更是这个城市的居民在盛夏

避暑的好去处。柳叶湖的水面宽广,蓄水量丰富,而水的      比砂石的大,在质量相同的情况下吸收相同的热量后水升高的温度要      砂石升高的温度(填 “多于”、“等于”或“少于”),因而夏天里人们在柳叶湖边会感到很舒服。

试题详情

24.2007年10月24日18时05分,“嫦娥一号”探月卫星从西昌卫星发射中心用“长征三号甲”运载火箭成功发射。在发射过程中,火箭

是通过向后喷出气流使自身受力而前进的,这是运用

了力的作用是    的道理;卫星在绕月探测的过程

中需要将一对巨型太阳能电池翼张开,如右图,这对

电池翼的作用是将太阳能转化为     能。

试题详情

23.2008年5月12日,我国四川汶川发生8.0级的大地震给生命和财产造成严重伤害,牵动着每一个中华儿女的心。地震后有些被埋在废墟下的人为了保存体力不是大声呼救而是用硬物敲击墙壁或管道,向营救人员求救,最后获得了生的机会。用物理学知识解释他们是利用了声音可以在  中传播的原理,在他们的求救行为中发出的声音是由于用硬物敲击后墙壁或管道发生   而产生的。

试题详情

22.2008年4月,常德市出现了首例“手足口”病例之后,引起了市政府的高度重视,要求各地学校每天对学生进行晨检、晚检,并报告检查情况,其中就用了到体温计。图甲是一支常见体温计的示意图,它的量程是  ℃,它的分度值为 ℃。

由此可知体温计的测量结果比实验用温度计更精确,但因

液柱太细难以读数,所以体温计具有特殊构造,其横截面

如图乙所示,a为向外凸起的弧形玻璃面,要看清体温计

中液柱的位置就应沿  方向观察(“A”、“B”或“C”),

这是利用         

试题详情

21.小洋家买了一辆崭新漂亮的小汽车,她高兴极了,把车的里里外外都观察了个够。通过观察,小洋发现小汽车的许多部件都用到了物理知识,下面是她列出的几项,请你帮她补充完整。

(1)小汽车的轮胎上有许多凹凸不平的花纹,是为了    轮胎与地面间的摩擦力;

(2)小汽车前面的挡风玻璃是倾斜安装的,这是为了避免因      而干扰驾驶员的视线;

(3)小汽车的发动机是汽油机,从能源可否再生的角度看,汽油是     能源;

(4)她查阅小汽车的说明书,发现汽车前灯灯泡的规格是“12V  25W”,其物理意义是           

试题详情

20.如图所示电路中,电源电压保持不变,当开关S闭合,滑

动变阻器的滑片P向右移动时,电表的示数变化情况是

A.电流表示数增大,电压表示数增大

B.电流表示数减小,电压表示数增大

C.电流表示数不变,电压表示数不变

D.电流表示数减小,电压表示数不变

试题详情


同步练习册答案