0  255320  255328  255334  255338  255344  255346  255350  255356  255358  255364  255370  255374  255376  255380  255386  255388  255394  255398  255400  255404  255406  255410  255412  255414  255415  255416  255418  255419  255420  255422  255424  255428  255430  255434  255436  255440  255446  255448  255454  255458  255460  255464  255470  255476  255478  255484  255488  255490  255496  255500  255506  255514  447090 

5.下图表示某一生态系统中,取食方式为吞食的三个物种随食物颗粒大小而产生的种群数量

   分布。下列对此图的分析,正确的是                                (   )

   A.三个物种的食物资源完全相同

   B.物种甲与物种乙为竞争关系

   C.物种丙与物种甲为捕食关系

   D.能量流动方向由甲经乙到丙

试题详情

4.研究发现生长素(IAA)和赤霉素(GA)对豌豆茎切段等离

    A.本实验可以通过测量豌豆茎切段的生长长度来记录实  

验结果

   B.IAA和GA 同时存在时,具有明显增效作用

   C.本实验自变量是激素种类的不同,无关变量是激素的

浓度、豌豆茎切段的状况等

   D.IAA和GA均具有促进植物生长的作用,但GA的促

进效应较IAA明显

试题详情

3.果蝇中,正常翅(A)对短翅(a)显性,此对等位基因位于常染色体上;红眼(B)对白

  眼(b)显性,此对等位基因位于X染色体上。现有一只纯合红眼短翅的雌果蝇和一只纯

  合白眼正常翅雄果蝇杂交,你认为杂交结果正确的是                     (   )

  A.F1代中只有雄果蝇是红眼正常翅

  B.F2代雄果蝇的红眼基因来自F1代雄果蝇

  C.F2代雄果蝇中纯合子与杂合子的比例相等

  D.F2代雌果蝇中正常翅个体与短翅个体的数目相等

试题详情

2.在抗震救灾中,发现有些在废墟下由于肌肉受到挤压导致局部组织坏死但仍保持清醒的幸

  存者,当移开重物被救出后,却因肌肉大量释放的肌红素、钾等物质迅速进入血液,结果

  造成人压着没事,救出来后最终因心肾功能衰竭而不幸去世的情况。下列与之有关的叙

  述,错误的是                                                   (   )

  A.在移开重物前,应先为伤者静脉滴注生理盐水,使血液中的有害物质随尿液排出

  B.有些刚被救的伤者,其内环境稳态已经遭到破坏,影响正常的生命活动

  C.因严重缺水,幸存者体内抗利尿激素分泌增多,尿量减少

  D.心肾功能衰竭是由于遇难者血浆渗透压过低所致

试题详情

1.将一个细胞中的磷脂成分全部提取出来,将其在空气-水界面上铺成单分子层,结果测得

  单分子层的表面积相当于原来细胞膜表面积的两倍。下列细胞实验与此结果最相符的是

                                                                (   )

    A.人的肝细胞                      B.蛙的红细胞 

    C.洋葱鳞片叶表皮细胞             D.大肠杆菌细胞

试题详情

31.(16分)血浆是人体内环境的重要组成部分,其稳态的维持是机体正常生命活动的必要

条件。请据图回答下列问题:

   

  (1)正常情况下,机体血糖浓度维持在相对稳定状态。由甲图可知,参与机体血糖调节的激素除⑤肾上腺素外,还有    (填写图中标号及名称),其中表现出相同效应的两种激素是     (填写图中标号)。人体内激素作用的结果往往会反过来影响该激素的分泌,这种方式叫做     调节。

  (2)下丘脑可通过有关神经的作用参与血糖的调节。若乙图为调节过程中部分结构示意图,则图中涉及     个神经元,这些细胞所处的内环境为     。已知图中细胞受到刺激后释放的化学递质均为兴奋性递质,若图中b处受到足够强度的刺激,则除b处以外,图中可能发生兴奋的部位有    (选填图中字母)

  (3)血液在人体对抗病原体的过程中发挥着重要作用,其中吞噬细胞并分解多种病原体,在    免疫中发挥重要作用;此外,在体液免疫过程中,吞噬细胞能够对病原体进行必要的摄取和处理,结合其他细胞的作用,使相应细胞受到刺激并经过一系列的增殖分化成为     细胞,分泌特定抗体发挥重要作用。

试题详情

30.(16分)请根据下列材料和示意图回答问题:

   

   材料1:医学上常使用抗生素治疗由细菌和真菌所引起的疾病。目前常用的抗生素多达

几百种。甲图简要表示不同种类的抗生素(①~⑤)对细菌的作用部位或作用原理。

   材料2:三位科学家因对“核糖体结构和功能的研究”取得突出成就而获得2009年诺贝

尔化学奖。他们绘制的核糖体模型已被广泛应用于新型抗生素的研制,以减少患者的病

痛和拯救生命。

  (1)甲图中结构P的化学本质是       ,在基因工程中常可作为    发挥重要作用。

  (2)青霉素是一种临床常用的抗生素,这种抗生素的作用原理与甲图中①的作用类似,即在细胞增殖过程中抑制细菌    (结构)的形成。抗生素不的合理使用往往会导致细菌产生耐药性,其实质是定向选择导致菌群中     增加。

  (3)细菌耐药性的产生使抗生素的疗效明显降低。基于对细菌核糖体结构和功能的研究,研究人员研制出了新型的抗生素,这些抗生素在细菌中的作用机理类似于甲图中

         (填写数字序号),即通过影响细菌遗传信息表达中的    过程,达到杀菌或抑制效果。

  (4)欲比较几种新型抗生素针对大肠杆菌的抑菌效果,有人进行如下实验:将大肠杆菌菌液均匀涂布于固体培养基表面,其目的是使细菌落在培养基表面均匀分布。之后将浸有等量不同抗生素的圆形纸片贴于培养基表面,一段时间后,结果如图乙所示。由此判断A~D四种抗生素中    对大肠杆菌的抑制最有效,判断依据是  

试题详情

29.(18分)在一个与世隔的小岛上,某种地中海贫血症(单基因遗传病)具有较高的发病率,为确定该遗传病的遗传方式,研究人员对岛上若干家庭进行了调查。在一个祖孙三代的家庭里,丈夫(甲)和妻子(乙)均表现正常,他们仅有的一个孩子为患有该病的男孩,甲的姐姐和乙的弟弟均为核病患者,而甲乙双方的父母均表现正常,请据此回答下列问题:

    (1)请在下列空白方框中绘制出该家庭三代的遗传系谱图。

  (2)根据对此家庭的调查结果初步推测,该遗传病的致病基因是位于    染色体上的

          性基因。若用字母T、t表示这对基因,该家庭中甲和乙的基因型可依次表示为        。如果他们再生一个孩子,患有该病的概率约为      。通过进行遗传咨询和      等手段,可有效降低该遗传病的出生率。

  (3)经调查,岛上每256人中有一人患此遗传病,则该岛人群中T基因的频率为   。选择此地进行调查的原因是       ,有利于进行数据统计与分析。

   (4)研究表明,地中海贫血症的患病原因是由于细胞决定相关蛋白质的基因T发生了突变,T基因既可突变为T1,也可突变为t1,这体现出基因突变具有   的特点。

试题详情

28.(14分)

     某化学小组用粗氧化铜(含少量氧化亚铁及不溶于酸的杂质)制取无水氯化铜,其实验流程如下所示:

  (1)步骤①中氧化铜与盐酸反应的离子方程式是    

  (2)步骤①、③的过滤操作中,除用到铁架台(带铁圈)外,还需要使用的玻璃仪器是

         

  (3)已知:

 
氢氧化物开始沉淀时的pH
氢氧化物沉淀完全时的pH
Fe3+
1.9
3.2
Fe2+|
7.0
9.0
Cu2+
4.7
6.7
提供的试剂:a. NaOH   b. H2O2   c. Na2CO3   d. CuO

     参照表中给出的数据和试剂,请回答:

     步骤②的目的是     ,反应的离子方程式是       。步骤③中调节溶液pH的范围是       ,试剂Y是     (填字母)。

  (4)步骤⑤要得到无水氯化铜,需要在干燥的HCl气流中加热CuCl2·2H2O,其原因是    

试题详情

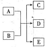
27.(14分)

一定条件下,物质A~E转化关系如右图,其中A为单质,常温下E为无色溶液体。

    (1)若A、C、D均含氯元素,C为氯碱工业的原料,

D溶液具有漂白性,则A与B反应的化学方程

式是        ;D溶液可使KI淀粉溶

液显蓝色,则D与KI在溶液中反应的离子方

程式是        ;检验C中所含阴离子

的实验方法是    

  (2)若A为红色金属,B为某酸的浓溶液,D可形

成酸雨的无色气体。A与B反应的化学方程式

      ;a molA与足量的B充分反应后,将产生的D通入NaOH溶液中,恰好完全反应,则所需NaOH的物质的量的范围是      

  (3)上述(1)、(2)中的D都能使品红溶液褪色,利用褪色后的溶液,探究使褪色的物质的实验方法是     

试题详情


同步练习册答案