0  264950  264958  264964  264968  264974  264976  264980  264986  264988  264994  265000  265004  265006  265010  265016  265018  265024  265028  265030  265034  265036  265040  265042  265044  265045  265046  265048  265049  265050  265052  265054  265058  265060  265064  265066  265070  265076  265078  265084  265088  265090  265094  265100  265106  265108  265114  265118  265120  265126  265130  265136  265144  447090 

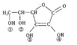
8.维生素C(Vitamin C)又名抗坏血酸,具有酸性和强还原性,也是一种常见的食品添加剂,其结构如右图。下列有关说法中正确的是                    (   )

    A.维生素C的分子式为C6H 16O6

    B.维生素C 由于含有酯基而难溶于水

    C.维生素C由于含有C=O键而能发生

银镜反应

    D.维生素C的酸眭可能是③、④两个

羟基引起的

试题详情

7.用NA表示阿伏加德罗常数的值,下列说法正确的是                      (   )

    A.标准状况下,11.2LNO与5.6LO2混合后的分子总数为0.5NA

    B.1mol癸烷所含共价键数为29NA

    C.1mol乙烯基所含电子数为16NA

    D.乙烯和环丙烷组成的28g混合气体中含有4NA个氢原子

试题详情

6.下列关于人类遗传病的叙述,错误的是                               (   )

    ①一个家旅仅一代人中出现过的疾病不是遗传病

    ②一个家族几代人中都出现过的疾病是遗传病

    ③携带遗传病基因的个体会患遗传病  

    ④不携带遗传病基因的个体不会患遗传病

    A.①②         B.③④          C.①②③        D.①②③④

试题详情

5.将二倍体芝麻的种子葫发成的幼苗用秋水仙素处理后得到四倍体芝麻、此四倍芝麻(   )

    A.与原来的二倍体芝麻相比,在理论上已经是一个新物种了

    B.产生的配子中南于没有同源染色体,所以配子无遗传效应

    C.产生的配子中有同源染色体,用秋水仙素诱导成的单倍体可育

    D.将此四倍体芝麻产生的花粉进行离体培养长成的芝麻属于二倍体

试题详情

4.将生妖状况相同的轮藻叶片分成4等份,在不同的温度下分别暗处理lh,再光照lh(光照强度相同),测其重量变化,得到如下的数据。以下说法错误的是    (   )

组别
1
2
3
4
温度(℃) 
27
28
29
30
暗处理后的重量变化(mg)
-1
-2
-3
-1
光照后和暗处理前的重量变化(mg)
+3
+3
+3
+1

    A.轮藻催化呼吸作用的酶的最适温度约为29%

    B.第三组轮藻释放的氧气量最多

    C.四个组中的轮藻光合作用强度都大于呼吸作用强度

    D.第四组轮藻光合作用制造的有机物总量为2mg

试题详情

3.A、B、C三种瓢虫对环境条件的适应能力不同。它们分布区域的温度和湿度的范围如右图所示。据图分析下列叙述合理的是                                             (   )

    A.B能适应的环境温度范围比A窄

    B.C能适应的环境温度范围比A广

    C.能适应的环境温度范围比C窄  

    D.三种瓢虫可同时分布于温度、湿度范围很窄

的同一栖息地  

试题详情

2.下列有关生物知识的叙述,正确的项数是                              (   )

    ①在基因T程中,DNA连接酶只用于DNA拼接重组

    ②将小麦发芽的种子研磨液置于试管中,加入斐林试剂,试管内立即呈现砖红色沉淀,说明发芽的小麦种子中含有还原糖

    ③用于质壁分离的洋葱表皮细胞也可用于观察植物细胞有丝分裂

    ④胰岛细胞比心肌细胞具有更多的高尔基体

    ⑤经碱性染料染色的洋葱表皮细胞,镜榆时可看到每条染色体都被染成深色

   ⑥胡萝卜叶肉细胞脱分化形成愈伤组织后全能性增大

    A.1项          B.2项          C.3项          D.4项

试题详情

1.美国弗吉尼亚大学研究人员发现了一种名为RHOGDl2的基罔,该基因有助于避免癌细胞扩散,他们发现携带该基因的癌细胞会失去转移能力。该基因的作用最可能的是(   )

    A.当这种基因添加到癌细胞后,在癌细胞中表达并参与一种糖蛋白的产生

    B.当这种基因添加到癌细胞后,在癌细胞中表达并产生一种蛋白质,由此使癌细胞迅速分化为其他组织、器官

    C.该基因在癌细胞内表达后使癌细胞迅速衰老

    D.该基因在癌细胞内表达后使癌细胞的DNA复制受阻,停止细胞分裂

试题详情

32.(17分)2008年开始,由美国华尔街的“次贷危机”引发了波及世界的“金融海啸”,世界经济受到严重冲击,国际经济增速放缓。

材料一:我国国家财政部和税务总局联合宣布,从2008年11月1日起,调高3486项劳动密集型和高技术含量、高附加值商品出口退税税率。随后11月5日,国务院常务会议决定,出台更加有力的扩大国内需求措施,到2010年底新增4万亿政府投资,加快民生工程、基础设施、生态环境建设和灾后重建,提高城乡居民特别是低收入群体的收入水平。

材料二:我国一年期基准利率调整情况

(1)请运用经济生活知识,指出此次金融危机的爆发及波及到全球范围说明了什么?(4分)

(2)材料一、二分别反映了我国当前实施怎样的经济政策?并从经济生活角度说明实施的理由。(6分)

材料三:面对金融危机“寒流”侵袭,中国的玩具业遭遇了较大的困境,但浙江义乌超奇特玩具工艺品有限公司却在“寒冬”中傲然挺立。企业应对金融危机的做法是:自主开发出材料环保、档次高的会跑、会笑、会说英文的玩偶娃娃;改变贴牌生产,在国内、国外销售都打自己的品牌。公司一方面巩固产品质量,开发出前景看好的人工智能玩具;另一方面,不断开发国际市场。

(3)材料三给企业的经营者带来哪些经济学启示?(3分)

材料四:2008年11月15日,二十国集团领导人金融市场和世界经济峰会在美国华盛顿国家建筑博物馆举行。二十国集团领导人发表了宣言,强调在世界经济和国际金融市场面临严重挑战之际,与会国家要加强合作,努力恢复全球增长,实现世界金融体系的必要改革。

(4)运用政治生活有关知识分析世界各国共同应对危机的基本理由。(4分)

试题详情


同步练习册答案