0  264867  264875  264881  264885  264891  264893  264897  264903  264905  264911  264917  264921  264923  264927  264933  264935  264941  264945  264947  264951  264953  264957  264959  264961  264962  264963  264965  264966  264967  264969  264971  264975  264977  264981  264983  264987  264993  264995  265001  265005  265007  265011  265017  265023  265025  265031  265035  265037  265043  265047  265053  265061  447090 

24.A good teacher never criticize s his or her pupils but uses praise to _______ their best.

  A.bring out       B.bring up      C.bring in       D.bring on

试题详情

23.The doctor assured the patient that there was ______ with her, but she could not help   

  worrying.

  A.seriously wrong nothing             B.nothing serious wrong 

  C.nothing seriously wrong             D.serious nothing wrong

试题详情

22.--What will the year 2012 be like?

  --Hard to say,but it might be like _______ day we have spent.

  A.every           B.each           C.any           D.none

试题详情

第一节 单项填空 (共15小题;每小题1分,满分15分)从A、B、C、D 四个选项中,选出可以填入空白处的最佳选项,并在答题卡上将该项涂黑。

21.The CPI went up sharply,as was reported in the newspaper,mainly due to ____ 20%

  rise in ______ food prices.

    A./;/      B.a; the          C./;the        D.a;/

试题详情

(三)提出并解决问题

有同学认为:NH3与CuO反应生成的红色物质中可能含有Cu2O。已知Cu2O是红色粉末,是一种碱性氧化物,在酸性溶液中,Cu+能自身发生氧化还原反应。请你设计一个简单的实验检验该红色物质中是否含有Cu2O:         

 30.(16分)烯烃通过臭氧氧化并经锌和水处理得到醛或酮。例如:

上述反应可用来推断烯烃的结构。一种链状单烯烃A通过臭氧氧化并经锌和水处理得到B和C。化合物B不能发生银镜反应,催化加氢生成D。D在浓硫酸存在下加热,可得到能使溴水褪色且只有一种结构的物质E,并且E在一定条件下能生成一种高分子化合物H。反应图示如下:

回答下列问题:

  (1)8.6 g B在氧气中充分燃烧可以产生22 g CO2和9 g H­O,则B的分子式是     

  (2)A和D的名称(系统命名)分别为       、      

  (3)H的结构简式是                 

  (4)C→F的反应类型是         E→H的反应类型是      

  (5)G与足量NaOH溶液反应的化学方程式是       

  (6)某种有机物的分子式与G的分子式相比仅少8个氢原子,写出满足下列条件的该有机物的所有结构简式: ①苯环上的一氯代物只有两种;②能发生银镜反应。

                                

31.Ⅰ(6分)红外线CO2分析仪可用于测定混合气体中CO2的浓度及其变化量。将水稻的成熟绿叶组织放在密封透明的小室内给以适宜光照,在不同CO2浓度下测定光合作用速率。下图为光合作用增长率随CO2浓度变化的情况。请分析回答:

  (1)光合作用速率与CO2浓度密切相关,CO2浓度直

   接影响光合作用过程中    化合物的浓度。

  (2)图中光合作用增长率最大的是     段,在       

点光合作用速率最

  大。在E点时     是光合作用速率的重要限制因子。

  (3)在大田生产上地表CO2浓度对植物的光合作用有重要影响。请写出一种能提高地

  表CO2浓度的方法并简析原因。方法        ,原因        

Ⅱ.(6分)放射性同位素标记法是生物学研究的重要技术手段之一。

请回答下列问题:

  (1)给小白鼠吸入18O2,一段时间后,可以检测到线粒体中有     (物质)生成。

  (2)用15N标记的氨基酸培养胰腺细胞,细胞最后分泌出含有15N的胰岛素,放射性

   15N在胰腺细胞中依次出现在细胞膜→         (填细胞器)→细胞膜。

  (3)牛奶中含有丰富的蛋白质,有研究发现空腹喝牛奶,不能充分利用其营养价值。

   请将下列实验设计补充完整,以证实上述观点。

   实验步骤:

   ①取10只生长发育良好,月龄及体重相同的小鼠,        处理一段时间

  (如12小时等),并平均分为A、B两组;

②给A组小鼠各饲喂100g葡萄糖及50g含有15N的牛奶,给B组小鼠各饲喂  

经过4小时后检测                        

   预期实验结果:                         

32.(11分)I.图甲表示与人体内环境稳态调节有关的部分结构及关系。(“+”表示促进作用,“-”表示抑制作用)

  (1)a细胞为   ,①处的激素名称为  ,作用为   (用“+”或“-”表示)。

  (2)当人体进入寒冷环境中,激素C和   的分泌量将    ,导致产热量增加。

   Ⅱ.下图为反射弧的模式图。X、Y为神经纤维上的实验位点,Z为突触间隙。

回答下列问题:

  (1)从反射弧的结构组成来看,图中B为    

  用适宜的电流刺激图中的    实验位点,均可

  产生缩手反射。

  (2)在神经纤维膜外安放如图所示的灵敏电流计,

  若给予X点一个强刺激,X点处神经纤维膜内电位

  发生的变化是      ,电流计指针发生  

  次偏转。

  (3)某种药物可以阻断青蛙屈肌反射活动。现将药物放在X处,刺激Y点,肌肉收

   缩;将药放在Z处,刺激Y点,肌肉不收缩。该实验结果证明这种药物在神经系统中的作用是阻断             

33.(8分)下图表示一个草原生态系统的营养结构,请据图回答问题。

  (1)该食物网包含了       条食物链,鹰处于第      营养级。

  (2)优良牧草与杂草之间的关系主要表现为      。由于人口压力,许多草原

   存在 着过度放牧的现象,这种现象首先会导致     减少,若长期如此,草原将

   退化。要了解  某种优良牧草的种群密度,常用的调查方法是    

  (3)假设放养牧畜的食物90%来自牧畜喜食的牧草,且该系统能量从生产者到消费

   者的传递效率为10%,从消费者到消费者的能量传递效率为20%。如果人增加的能量

   为200KJ,那么其中来自牧畜喜食牧草的能量为     KJ。

  (4)轻度放牧不会对草原生态系统造成破坏,原因是生态系统具有一定的    

   力。草原生态系统与森林生态系统相比较,这种能力相对较小,原因是:    

34.(11分)下图表示几种育种方法大致过程。请分析回答:

   (1)在图一所示①→②过程中发生了中发生了      。若以②的碱基序列为

   模板经转录和翻译形成③,此过程与以①为模板相比一定发生变化的是    

A.mRNA碱基序列  B.tRNA种类      C.氨基酸种类     D.蛋白质结构

   (2)图二中控制高产、中产、低产(A、a)和抗病与感病(B,b)的两对等位基因

   分别位于两对同源染色体上。F2的表现型有     种。F2中高产抗病植株

   占     。鉴别高产抗病植株是否为纯合子的方法是         ,收获种

   子种植。若子代        ,则说明植株为纯合子。在转入抗虫基因的过程

   中,需要用     酶将抗虫基因与载体DNA连接,然后导入受体细胞。

   (3)图二中利用F1的花粉形成个体④所应用技术的理论依据是      ,在培

   养过程中,细胞必须经过      过程才能形成胚状体或丛芽。

   (4)图二所示的育种方法的原理有       

   (5)图三的育种过程在现代技术中称为     

试题详情

(二)实验探究

  该小组成员设计实验探究氨气还原性及产物,提供实验装置如下:

  (1)请你根据提供的装置从左至右连接接口序号(  )(  )(  )(  )(  )(  )

  (2)该装置在设计上有一定的缺陷,为确保实验结果的准确性,你对该装置的改进措施是                

  (3)利用改进后的装置进行实验,观察到CuO全部变为红色物质,无水CuSO4变蓝,同时生成一种无污染的气体。请写出NH3与CuO反应的化学方程式     

(4)装置B的作用是:                

试题详情

(一)制取氨气

  (1)实验室制备氨气,下列方法中适宜选用的是    (填编号)

 ①氯化铵溶液与氢氧化钠溶液共热;②固体氢氧化钠中滴加浓氨水;③固态氯化铵

 加热分解;④固态硝酸铵加热分解;⑤固态氯化铵与熟石灰混合加热。

  (2)写出实验室制取氨气的化学方程式            

试题详情

22.(6分)利用单摆测定重力加速度时,所用悬线长为为103.0毫米,摆球直径为4.2毫米,摆球质量为240克。完成30次全振动用时63.0秒。下列几种说法正确的是(   )

A.完成一次实验计算出重力加速度,变更摆球的质量,重做几

次实验,求出几次实验得到的重力加速度的平均值作为最终结

果。

B.单摆从平衡位置拉开的角度不应超过

C.用停表测出单摆完成一次全振动所用的时间,重复测量后取平均值,即为单摆的

振动周期

D.在测定周期时,最好从摆球通过平衡位置时开始计时。

E.单摆作简谐振动通过平衡位置时合力为零。

F.单摆的周期为2.1秒,单摆的摆长为1.072米

23.(12分)(1)有一新型材料制成薄膜电阻R0,既能承受大电流的冲击,小电流流入又能产生明显变色反应,阻值稳定但不详,用欧姆表粗测其阻值结果如左所示(选档旋钮置于:×1K档位上)。欧姆表测得的电阻值约为     Ω;用螺旋测微器测量厚度,其厚度结果如右所示,由此可知其厚度为   mm。

    (2)现有下列器材,试设计适当的电路,选择合适的器材,较精确地测定(1)中薄

   膜电阻R0的阻值(滑动变阻器的调节要方便)。

        1.电流表A1,量程0-400μA,内阻约150Ω

电流表A2,量程0-10mA,内阻约45Ω

        2.电压表V1,量程0-3V,内阻约6

          电压表V2,量程0-15V,内阻约30

        3.干电池两节E1,每节电动势为1.5V

          直流稳压电源E2,输出电压6V,额定电流3A

          直流稳压电源E3,输出电压24V,额定电流0.5A

        4.滑动变阻器R1,0-50Ω,1A

          滑动变阻器R2,0-4,0.1A

        5.电键S一只,导线若干

①电流表应该选择     ,电压表应该选择     ,电源应该选择    

动变阻器最好选择     (填字母代号);

②,在方框中画出电路原理图

24.(16分)如图所示,在高为h=3.2m的水平台面上放着两个质量分别为m2=0.2Kg和m3=0.3Kg的小球B、C,其中C用轻质弹簧与左边固定的档板连接,开始时C球静止在O点,弹簧处于自然长度。O点右侧台面光滑,左侧台面粗糙,各球与左侧台面间的动摩擦因数均为μ=0.2。现有一质量为m1=0.1Kg的小球A以V0=10m/s的速度向左运动,与B球发生正碰,A球被反弹后从水平台面上飞出,落地点距平台右边缘的水平距离为s=4m,而B球和C球在极短的时间内发生正碰,碰后粘在一起共同压缩弹簧,使弹簧具有最大弹性势能Ep=2.0J。已知三个小球均可看作质点,弹簧的形变在弹性限度内,不计空气阻力,g取10m/s2。求小球B、C碰后压缩弹簧的最大形变量x。

25.(18分)如图所示,皮带传动装置与水平面夹角为30°,轮半径R=m,两轮轴心相距L=8.15m,AB分别使传送带与两轮的切点,轮缘与传送带之间不打滑,一个质量为0.1kg的小物块与传送带间的动摩擦因数为μ= .小物块相对于传送带运动时,会在传送带上留下痕迹.当传送带沿逆时针方向匀速运动时,小物块无初速地放在A点,运动至B点飞出.若传送带沿逆时针方向匀速运动的速度v0=1.5m/s,求划痕的长度?

26.(20分)图中E为电源,电动势E=330V,内阻不计。电阻R1=20,R2=200。平行板电容器板长=18cm,两板间距=18cm。一带负电的粒子电量=8×C,质量

m=8×Kg,从O1点沿两板中心线O1O2飞入两板间,初速度。界面AB、CD间无电场,界面CD右侧有一固定在中心线上O2点的点电荷M。粒子在界面CD右侧运动过程中动能保持不变。已知两界面AB、CD相距为S=27cm。设界面CD右侧点电荷的电场分布不受界面的影响,不计粒子的重力。已知静电力常数为,求:

(1)平行板电容器两极板间的电压U

(2)粒子穿过界面CD时偏离中心线O1O2的距离L

(3)点电荷的电量Q

27.(14分) 为减小和消除CO2对环境的影响,有科学家提出“绿色自由”构想。即先把空气吹入碳酸钾溶液,然后再把CO2从溶液中提取出来,并使之变为可再生燃料甲醇。“绿色自由”构想技术流程如下:

  (1)写出分解池中反应的化学方程式          

  (2)在合成塔中,当有4.4kg CO2与足量H2完全反应,可放出热量4947 kJ,写出合成塔中反应的热化学方程式               

  (3)写出以氢氧化钾为电解质的甲醇燃料电池的负极反应式         

     当电子转移为     mol时,参加反应的氧气的体积是6.72L(标准状况下)。

  (4)在体积为l L的密闭容器中,充入1mol CO2和3molH2在500°C下发生反应。有关物质的浓度随时间变化如下图所示。

①从反应开始到平衡,H2的平均反应速率v(H2)=        

②若其他条件不变,只将温度提高到800°C,再次达平衡时,n(CH3OH)/n(CO2)比值         (填“增大”、“减小”或“不变”)。

③从平衡移动原理分析,低温有利于原料气的转化,而实际生产中采用300°C的温度,原因之一是考虑到催化剂的催化活性,原因之二是       

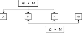
28.(14分)A、B、C、D、E、F六种元素均是短周期元素,且原子序数依次增大。B、F原子的最外层电子数均为其电子层数的两倍,D、F元素原子的最外层电子数相等。X、Y、Z、W、甲、乙六种物质均由上述元素的两种或三种元素组成,元素B形成的单质M与甲、乙均能反应(相对分子质量甲< 乙)转化关系如图(反应条件略去),元素E形成的单质是 “21世纪的能源”,是目前应用最多的半导体材料。请回答下列问题:

(1)写出M与甲的浓溶液加热时反应的化学方程式       

(2)X、Y、Z、W属于同一类物质,这类化合物固态时的晶体类型为      ;X、Y、W都能与Z反应,则Z的结构式为        

(3)将X、W与D2按1:1:n通入Z中,充分反应后无气体剩余或生成,则n=     ,写出反应的化学方程式                   

  (4)化合物ED2与元素B形成的某种单质晶体类型相同,且在高温下能发生置换反应。若反应中B的单质被破坏1mol共价键,则参加反应的化合物ED2的质量为   g。

  (5)元素B的另一种单质具有平面层状结构,同一层中的原子构成许许多多的正六边形,则12g该晶体中含有        NA个正六边形。

29.(16分)某校化学研究性学习小组的同学在学习了氨的性质后讨论:运用类比的思想,既然氨气具有还原性,能否象H2那样还原CuO呢?他们设计实验制取氨气并探究上述问题。请你参与活动并完成下列研究:

试题详情


同步练习册答案