0  265079  265087  265093  265097  265103  265105  265109  265115  265117  265123  265129  265133  265135  265139  265145  265147  265153  265157  265159  265163  265165  265169  265171  265173  265174  265175  265177  265178  265179  265181  265183  265187  265189  265193  265195  265199  265205  265207  265213  265217  265219  265223  265229  265235  265237  265243  265247  265249  265255  265259  265265  265273  447090 

(二)选考题:共45分。请考生从给出的3道物理题、3道化学题、2道生物题中每科任选一题做答,并用2B铅笔在答题卡上把所选题目的题号涂黑。注意所做题号必须与所涂题目的题号一致,在答题卡区域指定位置答题。如果多做,则每学科按所做的第一题计分。 33、[物理--选修3-3](15分)

(1)(5分)以下说法正确的是     (   )

A.当分子间距离增大时,分子间作用力减小,分子势能增大

B.已知某物质的摩尔质量为M,密度为,阿伏加德岁常数为NA,则该种物质的分子体积为

C.自然界发生的一切过程能量都是守恒的,符合能量守恒定律的宏观过程都能自然发生

D.液体表面层分子间距离大于液体内部分子间距离,液体表面存在张力

(2)(10分)如图所示,质量为m=10kg的活塞将一定质量的理想气体密封在气缸中,开始时活塞距气缸底高度h1=40cm.此时气体的温度T1=300K.现缓慢给气体加热,气体吸收的热量Q=420J,活塞上升到距气缸底h2=60cm.已知活塞面积S=50cm2,大气压强P0=1.0105Pa,不计活塞与气缸之间的摩擦,g取l0m/s2.求

①当活塞上升到距气缸底h2时,气体的温度T2

②给气体加热的过程中,气体增加的内能△U

34、[物理-选修3-4](15分)

(1)(5分)如右图所示为xy平面内沿x轴传播的简谐横波在t=0时刻的波形图像,波速为1cm/s,此时P点沿-y轴方向运动,关于图上x=0.3cm处的Q点的说法正确的是

A.t=0时,速度方向沿-y轴方向      

B.t=0.1s时,速度最大

C.t=0.1s时,加速度方向沿-y轴方向  

D.t=0.3s时,加速度为零

(2)(10分)一半径为R的1/4球体放置在水平面上,球体由折射率为的透明材料制成.现有一束位于过球心O的竖直平面内的光线,平行于桌面射到球体表面上,折射入球体后再从球体竖直表面射出,如图所示.已知入射光线与桌面的距离为.求出射角θ

35、[物理--选修3-5](15分)

(1)(5分)下列说法正确的是(   )

A.衰变方程

B.太阳辐射的能量主要来源于轻核聚变

C.大量的处于 n=5能级的氢原子只能够发出6条谱线

D.α粒子散射实验证实原子核是由中子和质子组成的

(2)(10分)光滑水平面上有一质量为M滑块,滑块的左侧是一光滑的圆弧,圆弧面下端与水平面相切,圆弧半径为R=l m,一质量为m的小球以速度v0,向右运动冲上滑块。已知M=4m,g取l0m/s2,若小球刚好没

跃出圆弧的上端。求:

①小球的初速度v0是多少?

②滑块获得的最大速度是多少?

36、[化学选修2:化学与技术](15分)

工业上为了使原料和能量得到充分的利用,常常采用循环操作。

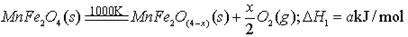
I、利用热化学循环制氢能缓解能源矛盾。最近研究发现,复合氧化物铁酸锰(MnFe2O4)可用于热化学循环分解水制氢。MnFe2O4的制备:

已知Fe3+、Mn2+沉淀的pH如右表所示。

 
开始沉淀
完全沉淀
Fe3+
2.7
4.2
Mn2+
8.3
10.4

(1)此工艺中理论上投入原料Fe(NO3)3和Mn(NO3)2的物质的量之比应为    

(2)控制pH的操作中m的值为    

II、用MnFe2O4热化学循环制取氢气:

(3)由上可知,H2燃烧的热化学方程式是              

(4)该热化学循环制取氢气的优点是      (填字母编号)。

A.过程简单、无污染              B.物料可循环使用

C.氧气和氢气在不同步骤生成,安全且易分离

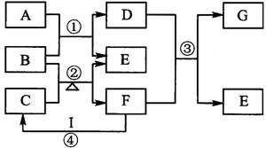
III、工业上可用H2、HCl通过下图的循环流程制取太阳能材料高纯硅。

反应①

反应②:

(5)上图中,假设在每一轮次的投料生产中,硅元素没有损失,反应①中HCl的利用率和反应②中H2的利用率均为75%。则在下一轮次的生产中,需补充投入HCl和H2的体积比是      

37、[化学选修3:物质结构与性质](15分)

Q、R、X、Y、Z为周期表前四周期元素,原子序数依次递增。已知:

①Q为元素周期表中原子半径最小的元素;

②R的基态原子中电子占据三种能量不同的原子轨道,且每种轨道中的电子总数相同;

③Y的基态原子的核外成对电子数是未成对电子数的3倍;

④Q、R、Y三种元素组成的一种化合物M是新装修居室中常含有的一种有害气体,Q、R两种元素组成的原子个数比为1:1的化合物N是中学化学中常见的有机溶剂;

⑤Z有“生物金属”之称,Z4+离子和氩原子的核外电子排布相同。

请回答下列问题(答题时,Q、R、X、Y、Z用所对应的元素符号表示)

(1)化合物M的空间构型为         ,其中心原子采取     杂化;化合物N在固态时的晶体类型为       

(2)R、X、Y三种元素的第一电离能由小到大的顺序为     

(3)由上述一种或多种元素组成的与RY2互为等电子体的分子为      (写分子式)

(4)由R、X、Y三种元素组成的RXY-离子在酸性条件下可与NaClO溶液反应,生成X2、RY2等物质。该反应的离子方程式为         

(5)Z原子基态时的外围电子排布式为         ;Z的一种含氧酸钡盐的晶胞结构如图所示,晶体内与每个Z原子等距离且最近的氧原子数为        

38、[化学选修5:有机化学基础](15分)

PET是世界上产量最大的合成纤维,其结构简式为:                

现以煤的干馏产品A与F为原料制备PET,生产流程如下图所示。其中A为烃,含碳元素的质量分数为90.6%,其蒸气的密度是空气密度的3.66倍,能使酸性高锰酸钾溶液褪色,但不能使溴水褪色。M­­­­­­­­­分子里所有原子共平面。

请回答下列问题:

(1)指出下列反应类型:④         ⑤         

(2)指出反应①的反应条件:           

(3)写出有机物的结构简式,A:     ;N:          

(4)写出下列反应的化学方程式:

反应②        反应③         反应⑤       

(5)P的一种同系物X分子式为C3H8O2,在核磁共振氢谱图中出现三种信号峰,其峰的强度之比为2︰1︰1。则X的结构简式为                  

39、(15分)[生物-生物技术实践]我校研究型学习小组的同学为了调查环城湖水体中的细菌污染情况,结合所学知识进行了相关实验。实验包括制备培养基、灭菌、接种及培养、菌落观察计数。请回答下列问题。

(1)培养基的主要作用是为微生物的生长提供__。用于植物组织培养的还要加入_ _

(2)常采用________________对培养基进行灭菌。

(3)为了尽快观察到细菌培养的实验结果,应将接种了湖水样品的平板置于________中培养,培养的温度设定在37℃。要使该实验所得结果可靠,还应该同时在另一平板上接种_________作为对照进行实验。

(4)培养20小时后,观察并记录实验结果。若发现平板上有8种形态和颜色不同的菌落,这说明湖水样品中有__种细菌。一般说来,菌落总数越多,湖水遭受细菌污染的程度越___。

40、(15分)[生物-现代生物科技专题]下图是有关生物细胞生活史的概括,请据图分析回答问题:

(1)①过程所形成的子代细胞形态功能各不相同,这种现象叫_____________________。

(2)F→G→H过程叫做________________,其中⑦过程中细胞的全能性变   

(3)D一般取自_________________,其原因有_________________________________。

(4)⑥过程常在培养瓶中进行,当培养瓶中的细胞达到一定密度,细胞表面相互接触时,就会停止分裂,逐渐走向衰亡,这种现象叫做_______________。

(5)⑤过程发育成的动物叫克隆动物,试说出该技术的两点应用:_________;__________。

下图是某农业生态系统的结构模式图,请据图回答:

(6)食用菌在该生态系统中属于__________________________________(成分)。

(7)图示的生态系统能充分利用废物中的能量,形成“无废弃物农业”,这主要是遵循生态工程的_______________________原理。

(8)在充分利用能量,减少环境污染的同时,通过饲养家禽、家畜,栽培食用菌,提高农民经济收入,使保护环境和发展经济相互协调,体现了生态工程________________原理。

(9)农业生态系统由于_____________________,其自我调节能力较弱,稳定性较差。

2009-2010学年银川二中高三模拟(二)试题

试题详情

(1)   必考题(共11题,共129分)

22、 (6分)某研究性学习小组用如图(a)所示装置验证机械能守恒定律.让一个摆球由静止开始从A位置摆到B位置,若不考虑空气阻力,小球的机械能应该守恒,即mv2 = mgh.直接测量摆球到达B点的速度v比较困难.现让小球在B点处脱离悬线做平抛运动,利用平抛的特性来间接地测出v.如图(a)中,悬点正下方P点处放有水平放置炽热的电热丝,当悬线摆至电热丝处时能轻易被烧断,小球由于惯性向前飞出作平抛运动.在地面上放上白纸,上面覆盖着复写纸,当小球落在复写纸上时,会在下面白纸上留下痕迹.用重锤线确定出A、B点的投影点NM.重复实验10次(小球每一次都从同一点由静止释放),球的落点痕迹如图(b)所示,图中米尺水平放置,零刻度线与M点对齐.用米尺量出AN的高度h1BM的高度h2,算出A、B两点的竖直距离,再量出M、C之间的距离x,即可验证机械能守恒定律.已知重力加速度为g,小球的质量为m

(1)根据图(b)可以确定小球平抛时的水平射程为      cm.

(2)用题中所给字母表示出小球平抛时的初速度v0 =      

(3)用测出的物理量表示出小球从AB过程中,重力势能的减少量ΔEP =     ,动能的增加量ΔEK=      

23、(10分)在测定一节干电池的电动势和内电阻的实验中,备有下列器材:

  A.待测的干电池(电动势E约为1.5 V,内电阻r小于1.0Ω)

  B.电流表A1(0-3 mA,内阻Rg1=10Ω)

  C.电流表A2(0-0.6 A,内阻Rg2=0.5Ω)

  D.滑动变阻器R1(0-2.5Ω,1 A)   

  E.滑动变阻器R2(0-20Ω,l A)

  F.定值电阻R0 (500Ω)       

 G.开关和导线若干

(1)某同学发现上述器材中虽然没有电压表,但给出了两个电流表,于是他设计了如图所示中甲的(a)、 (b)两个参考实验电路,其中合理的是    图所示的电路(填写“a”或“b”);在该电路中,为了操作方便且能准确地进行测量,滑动变阻器应选   (填写器材前的字母代号).

(2)该同学根据(1)中选出的合理的实验电路利用测出的数据绘出I1I2图线(I1为电流表A1的示数,I2为电流表A2的示数),请在图乙坐标系中作出I1I2的定性图线。则图线斜率的绝对值等于        。(用题中所给的各物理量的符号表示)

(3)若将图线的纵坐标改为        ,横轴仍为I2,则图线与纵坐标轴的交点的物理含义即为电动势的大小。

 

24、(14分)如图所示,一个四分之三内壁光滑的圆弧轨道ABC,放置在竖直平面内,圆弧轨道半径为R,在A点与水平桌面AD相接,桌面与圆心O等高。MN是放在水平桌面上长为R、厚度不计的垫子(小球落在上面不反弹),左端M正好位于A点。将一个质量为m的小球从A处正上方P点由静止释放,从A点沿切线进入圆弧形轨道。不考虑空气阻力。

(1)欲使小球沿轨道通过C点后落到N点,P点距水平桌面AD的高度是多少? 落到N点时速度方向与水平方向的夹角θ多大?

(2)通过计算说明,小球沿圆弧轨道离开C点后能否再从A点进入圆弧轨道。

25、(17分)如图,两根足够长的光滑固定平行金属导轨与水平面成θ角,导轨间距为d,两导体棒ab与导轨垂直放置,两根导体棒的质量都为m、电阻都为R,回路中其余电阻不计。整个装置处于垂直于导轨平面向上的匀强磁场中,磁感应强度的大小为B,在t=0时刻使a沿导轨向上作速度为v的匀速运动,同时将b由静止释放,b经过一段时间后也作匀速运动。已知d=1m,m=0.5kg,R=0.5Ω,B=0.5T,θ=300,g取10m/s2,不计两导棒间的相互作用力。     

(1)若使导体棒b静止在导轨上,导体棒a向上运动的速度v多大?

(2)若a在平行于导轨向上的力F作用下,以v1=2m/s的速度沿导轨向上匀速运动,试导出Fb的速率v2的函数关系式并求出v2的最大值;

(3)在(2)中,当t=2s时,b的速度达到5.06m/s,2s内回路中产生的焦耳热为13.2J,求该2s内力F做的功(结果保留三位有效数字)。

26、(14分)为探究Cl2和SO2同时通入H2O中发生的反应,某化学兴趣小组设计了下图所示的实验装置。

   

(1)化学兴趣小组的同学采用Na2SO3粉末与70%的硫酸反应制取SO2气体,采用MnO2和浓盐酸反应制取Cl2。已知SO2的溶解度比Cl2大40倍,在此实验中,E仪器的作用是

         ;发生装置B应选择以下三种装置中的       (填序号)

   

(2)资料显示等物质的量的Cl2和SO2同时通入H2O中恰好反应生成两种酸,请写出反应的离子方程式                      

(3)为了不影响产物的检验,小组成员认为上述整套装置有一处不合理,应在    装置之间(填代号)连接一装置,请在装置图右边的方框中画出简易装置图,并注明装置中盛有的试剂。

(4)已知干燥的SO2和Cl2在活性炭催化剂存在下反应生成液态的SO2Cl2,反应的方程式为:SO2(g)+Cl2(g) SO2Cl2(l)  △H= - 97.3KJ/mol;SO2Cl2溶于水得到的产物与上述实验结果相同。

①为了提高上述反应中Cl2的平衡转化率,下列说法合理的是      (填序号)

A、缩小容器体积   B、使用催化剂   C、增加SO2浓度    D、升高温度 

②已知20℃时,AgCl的溶解度为1.5×10-4g,Ag2SO4的溶解度为0.796g,则SO2Cl2溶于水所得溶液中逐滴加入AgNO3稀溶液时,最先产生的沉淀是      

27、(14分)如图表示由元素周期表中1-20号且不同主族元素组成的单质及化合物之间转化关系(产物中的水已略去)。其中A为单质;在实验室中,常用固体B和固体C加热制取气体F;F与G的组成元素相同,G与I分子所含电子数相同。请回答:

(1)写出B、G的化学式B     、G    

(2)写出C的电子式     ;反应④的实验现象为        

(3)向具有漂白作用的D溶液加入I的稀溶液,写出反应的离子方程式:    

(4)向D的溶液加入I的浓溶液有A生成,其反应的离子方程式为:      

(5)写出反应③的化学方程式            。

28、(15分)近期因“召回门”而闹的沸沸扬扬的丰田Prius属第三代混合动力车,可以用电动机、内燃机或二者结合推动车轮。汽车上坡或加速时,电动机提供推动力,降低了汽油的消耗;在刹车和下坡时电动机处于充电状态。

(1)混合动力车的内燃机以汽油为燃料,汽油(以辛烷C8H18计)和氧气充分反应,每生成1 mol水蒸气放热569.1 kJ。则该反应的热化学方程式为__________________。

(2)混合动力车的电动机目前一般使用的是镍氢电池,镍氢电池采用镍的化合物为正极,储氢金属(以M表示)为负极,碱液(主要为KOH)为电解液。镍氢电池充放电原理示意如图,其总反应式是:

根据所给信息判断,混合动力车上坡或加速时,乙电极周围溶  液的pH将     (填“增大”、“不变”或“减小”),该电极的电极反应式为         

(3)汽车尾气中的一氧化碳是大气污染物,可通过如下反应降低其浓度:

CO(g)+1/2O2(g)CO2(g)。

①某温度下,在两个容器中进行上述反应,容器中各物质的起始浓度及正逆反应速率关系如下表所示。请填写表中的空格。

容器编号
c(CO)/mo1·L-1
c (02)/mol·L-1
c (C02)/mol·L-1
v(正)和v (逆)比较
I
2.0×10-4
4.0×10-4
4.0×10-2
v(正)=v(逆)

3.0×10-4
4.0×10-4
5.0×10-2
 

②相同温度下,某汽车尾气中CO、CO2的浓度分别为1.0×10-5mol·L-1和1.0×10-4mol·L-1。若在汽车的排气管上增加一个补燃器,不断补充O2并使其浓度保持为1.0×10-4mol·L-1,则最终尾气中CO的浓度为_________mol·L-1

29、(10分)据世界卫生组织统计,全球乙肝病毒(HBV)携带者近3.5亿人,我国是乙肝高发区之一,约有乙肝病毒携带者1.2亿人,发病人数超过3000万。完整的HBV是由一个囊膜和核衣壳组成的病毒颗粒,其DNA分子是一个有部分单链区的环状双链DNA。请回答问题:

(1)在肝功能检查过程中,血液中转氨酶(正常情况下存在于肝细胞中)的含量常作为诊断肝炎的一个重要指标,这主要是由于_______________________。

(2)在体检时,常发现一些被称为“乙型肝炎表面抗原呈阳性”的携带者,请问:直接检查的对象和原理是什么?(注意:肝功能是通过抽血化验)__________;__________

(3)如图所示为乙肝病毒在肝细胞中的增殖过程。②过程在生物学上叫_______________;需要的酶是________。与①过程相比,③过程特有的碱基配对方式是______________。

(4)接种疫苗是目前预防乙肝的重要手段之一。某正常人先后两次注射了该疫苗,如图所示为第一次注射后他血液中抗体浓度的变化,请在图中补充第二次注射后的抗体浓度变化情况。

30、(9分)玉米是一种雌雄同株的植物,正常植株的基因型为A_B_,其顶部开雄花,下部开雌花;基因型aaB_的植株不能开出雌花而成为雄株;基因型为A_bb或aabb的植株只开出雌花而成为雌株(两对基因独立遗传)。玉米田中马唐是数量最多、危害最大的优势杂草。农业科技工作者已经将抗除草剂基因导入玉米,增强了其抵抗除草剂的能力。请回答:

(1)现有基因型为AaBb植株的幼苗,要尽快获得纯合的雄株和雌株,请简要写出育种方案:___________________________________。

(2)杂合雄株和杂合雌株杂交,后代的表现型及比例________________

(3)若要调查玉米田中老鼠的种群密度,其方法是____________________。

(4)玉米与马唐的关系在生态学上是___________________。现有一种在玉米幼苗通过叶面喷洒可以有效杀灭马唐的除草剂刚刚研究出来,为了解这种除草剂在玉米田除草的浓度要求,请写出实验设计的基本思路:_________________________________。

31、(16分)如图是研究氧气浓度对花生种子萌发过程中呼吸作用影响的实验装置(图1)及实验结果(图2),试回答下列问题:

(1)若在装置的烧杯内放入一定量的NaOH溶液,并在通入不同浓度O2后关闭活塞,则一段时间后U形管左侧液面会__,液面变化量反应萌发的花生种子呼吸作用过程中__的变化。

(2)图2表明,C点前花生种子呼吸消耗O2的速率小于放出CO2的速率,种子发生的细胞呼吸类型有______。通常选择曲线中B点对应的O2浓度作为种子贮存时的O2的控制浓度,这种做法的目的是_________。

(3)呼吸作用利用的原料中C、H、O含量影响着呼吸消耗O2与CO2的量,图2中CD段的产生最可能与此时期花生种子呼吸作用利用的原料是_________有关;以简图表示该段细胞内葡萄糖中C的转移途径:_____________。

(4)D点以后呼吸消耗O2的速率明显大于放出CO2的速率,这与花生种子呼吸时主要以脂肪为原料,而脂肪分子中C含量_____________有关。农业生产中蚕豆种子与花生种子相比较,花生种子需要适当浅播,其主要依据的生物学知识是________________。

32、(4分)酵母茵生长的最适宜温度在20℃-30℃之间,能在pH值为3-7.5的范围内生长,在氧气充足的环境中主要以出芽生殖的方式快速增殖。大约每1.5-2小时增殖一代。某研究性学习小组据此探究酵母菌种群在不同的培养液浓度和温度条件下种群密度的动态变化,进行了如下实验,实验操作步骤如下:  

第一步:配制无菌马铃薯葡萄糖培养液和活化酵母茵液。

第二步:利用相同多套装置,按下表步骤操作。  

装置编号
A
B
C
D
装置容器内
的溶液
无菌马铃薯葡萄糖培养液/mL(
10
10
5
5(
无菌水/mL
-
-
5
5
活化酵母菌液/mL
0.1
0.1
0.1
0.1
温度(℃)
5
25
5
25

第三步:用血球计数板计数装置中起始酵母菌数目,做好记录。

第四步:将各装置放在其它条件相同且适宜的条件下培养。

第五步:连续7天,每天随机抽时间取样计数,做好记录。

回答下列问题:

(1)改正实验操作步骤中的一处错误______________

(2)某同学第5天在使用血球计数板计数时做法如下: ①振荡摇匀试管,取1mL培养液并适当稀释(稀释样液的无菌水中加入了几滴台盼蓝染液)  

②先将____________放在计数室上,用吸管吸取稀释后的培养液。滴于其边缘,让培养液自行渗入,多余培养液___________,制作好临时装片。

③显微镜下观察计数:在观察计数时只记__________(被、不被)染成蓝色的酵母菌。 

试题详情

21、如图在矩形abcd区域内存在着匀强磁场,A、B带电粒子都是从M点由静止经同一电场加速后从顶角d处沿dc方向射入磁场,A、B又分别从p、q两处射出,已知dp连线和dq连线与ad边分别成30o和60o角,不计重力。A、B两粒子在磁场中运动的速度大小之比vA:vB为 

A.    B.

C.     D.

卷(共174分)

试题详情

20、如图所示电路,电阻R1与电阻R2阻值相同,都为R,和R1并联的D为理想二极管(正向电阻可看作零,反向电阻可看作无穷大),在AB间加一正弦交流电u=20sin100πt(V),则加在R2上的电压有效值为

A.10V   B.20V   C.15V   D.5V

试题详情

19、有一静电场,其电场强度方向平行于x轴。其电势φ随坐标x的改变而变化,变化的图线如图甲所示,则图中正确表示该静电场的场强Ex变化的图线是图乙中的(设场强沿x轴正方向时取正值)

 

试题详情

18、如图所示,质量为m的物体用细绳拴住放在水平粗糙传送带上,物体距传送带左端距离为L,稳定时绳与水平方向的夹角为,当传送带分别以v1v2的速度作逆时针转动时(v1<v2),稳定时细绳的拉力分别为Fl、F2;若剪断细绳后,物体到达左端的时间分别为tl、t2,则下列关于稳定时细绳的拉力和到达左端的时间的大小一定正确的是    

A.Fl<F2              B.F1=F2    

C.tl>t2               D.tl<t2

试题详情

17、一质量为m的滑块以初速度v0自固定在地面上的粗糙斜面的底端开始冲上斜面,到达某一高度后又自动返回至斜面底端,图中分别给出了在整个运动过程中滑块的速度v、加速度a、动能Ek及重力势能Ep随时间t的变化关系图线,则其中可能正确的是(规定斜面底端所在水平面为零势能参考平面) 

 

试题详情

16、我国发射的“嫦娥一号”探测卫星沿地月转移轨

道到达月球,在距月球表面200km的P点进行第一次“刹车制动”后被月球捕获,进入椭圆轨道Ⅰ绕月飞行,如图所示。之后,卫星在P点又经过两次“刹车制动”,最终在距月球表面200km的圆形轨道Ⅲ上绕月球做匀速圆周运动。则下面说法正确的是  

A.卫星在轨道Ⅲ上运动到P点的速度大于沿轨道Ⅰ运动到P点时的速度

B.如果已知“嫦娥一号” 在轨道Ⅲ运动的轨道半径、周期和引力常数G就可以求出月球的质量 (

C.卫星在轨道Ⅱ上运动时在P点受的万有引力小于该点所需的向心力。

D.卫星在轨道Ⅲ上运动到P点的加速度等于沿轨道Ⅰ运动到P点时的加速度

试题详情

15、如图为两个物体AB在同一直线上沿同一方向同时作匀加速运动的v-t图线。已知在第3s末两个物体在途中相遇,则下列说法正确的是 

A.两物体从同一地点出发

B.出发时BA前3m处

C.3s末两个物体相遇后,两物体不可能再相遇 

D.运动过程中B 的加速度大于A的加速度

试题详情

14、以下是物理学中的四个实验装置或仪器,由图可知这四个实验或仪器共同的物理思想方法是

A. 极限的思想方法           B. 猜想的思想方法

C. 控制变量的方法           D. 放大的思想方法

试题详情


同步练习册答案