0  266227  266235  266241  266245  266251  266253  266257  266263  266265  266271  266277  266281  266283  266287  266293  266295  266301  266305  266307  266311  266313  266317  266319  266321  266322  266323  266325  266326  266327  266329  266331  266335  266337  266341  266343  266347  266353  266355  266361  266365  266367  266371  266377  266383  266385  266391  266395  266397  266403  266407  266413  266421  447090 

29、(15分)某校学生为探究苯与溴发生反应的原理,用如图装置进行实验。根据相关知识回答下列问题:

(1)实验开始时,关闭K1,开启K2和分液漏斗活塞,滴加苯和液溴的混合液,反应开始。过一会儿,在(III)中可能观察到的现象是            

(2)整套实验装置中能防止倒吸的装置有        (填装置序号)。

(3)反应结束后要使装置(I)中的水倒吸入装置(II)中。这样操作的目的是   。简述这一操作方法                 

(4)你认为通过该实验后,有关苯跟溴反应的原理方面能得出的结论是     。方程式                

试题详情

28、(14分)已知X、Y、Z、W四种元素是元素周期表中连续三个短周期的元素,且原子序数依次增大。X、W同主族,Y、Z为同周期的相邻元素。W原子的质子数等于Y、Z原子最外层电子数之和。Y的氢化物分子中有3个共价键。Z原子最外层电子数是次外层电子数的3倍。试推断:

(1) X的元素符号为     ,元素Z在周期表中的位置为           。

(2) 由以上元素中的两种元素组成的物质中有一种能与H2O反应释放出空气中的主要成分之一的气体,则该物质的电子式为        ,化学键类型为         。

(3) 由X、Y、Z所形成的常见离子化合物的化学式为      ,它与W的最高价氧化物的水化物的浓溶液加热时反应的离子方程式               。               

(4) 在由X、Y、Z、W四种元素形成的常见化合物或单质中,不能形成的晶体类型

         。

试题详情

27、(17分)有机物A的相对分子质量184.5,其结构如图1所示,(-R-代表某种烷基),A在一定条件下还有如图2所示的反应关系,D不能发生银镜反应。

(1)C中含有的官能团为         ,E→F的反应类型为           ;

(2)写出A的结构简式          ;

(3)写出C→E的化学方程式           

(4)H的同分异构体很多,其中属于酯类,含苯环,且水解产物中含有乙酸的同分异构体有           种

(5)G显酸性,M(B),M(G)分别表示B、G的相对分子质量,试求:M(G)-M(B)=      。

试题详情

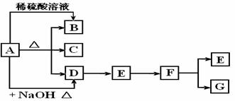
26.(14分)下列A~G均是中学常见化合物,它们之间有如图的转化关系(部分反应物或生成物略去),已知B为气体,E、F、G三种化合物中均含有同一种元素甲,且价态互不相同。

(1)甲元素为________。

(2)B是________或_________,写出两种鉴别它们的方法__________;_________。

(3)若A与G反应也能制B,且反应中n(A):n(G)= 1:2,则此时该反应的离子方程式是                       

(4)若B与F在一定条件下反应生成一种化合物和一种单质,该反应的化学方程式为                     。

试题详情

25.(20分)如图所示,在直角坐系中的第Ⅰ象限中存在沿y轴负方向的匀强电场,在第Ⅳ象限中存在垂直纸面的匀强磁场,一质量为m、带电量为q的粒子(不计重力)在y轴上的A (0,3)以平行x轴的初速度v0=120 m/s射入电场区,然后从电场区进入磁场区,又从磁场区进入电场区,并通过x轴上P点(4. 5,0)和Q点(8,0)各一次.已知该粒子的荷质比为,求磁感应强度的大小与方向?

试题详情

24.(16分)如图所示,质量为M的平板小车静止在光滑的水平地面上,小车左端放一个质量为m的木块,车的右端固定一个轻质弹簧.现给木块一个水平向右的瞬时冲量I,木块便沿小车向右滑行,在与弹簧相碰后又沿原路返回,并且恰好能到达小车的左端.试求:

(1)木块返回到小车左端时小车的动能.

(2)弹簧获得的最大弹性势能.

试题详情

23.(15分)如图所示的装置可以测量飞行器在竖直方向上做匀加速直线运动的加速度.该装置是在矩形箱子的上、下壁上各安装一个可以测力的传感器,分别连接两根劲度系数相同(可拉伸可压缩)的轻弹簧的一端,弹簧的另一端都固定在一个滑块上,滑块套在光滑竖直杆上.现将该装置固定在一飞行器上,传感器P在上,传感器Q在下.飞行器在地面静止时,传感器P、Q显示的弹力大小均为10 N.求:

(1)滑块的质量.(地面处的g=10 m/s2)

(2)当飞行器竖直向上飞到离地面处,此处的重力加速度为多大?(R是地球的半径)

(3)若在此高度处传感器P显示的弹力大小为F'=20 N,此时飞行器的加速度是多大?

试题详情

22.实验题:(每空3分,共21分)

(1)某同学通过实验对平抛运动进行研究,他在竖直墙上记录了抛物线轨迹的一部分,如图所示.O点不是抛出点,x轴沿水平方向,由图中所给的数据可求出平抛物体的初速度

      m/s,抛出点的坐标x     m, y=      m (g取10m/s2)

(2)在描绘小灯泡伏安特性曲线的实验中,为减小实验误差,方便调节,请在如图所示的四个电路图和给定的三个滑动变阻器中选取适当的电路和器材,并将它们的编号填在横线上.

应选取的电路是     ,滑动变阻器应选取     

E总阻值I5Ω,最大允许电流2A的滑动变阻器

F.总阻值200Ω,最大允许电流2A的滑动变阻器

G.总阻值1 000Ω,最大允许电流1A的滑动变阻器

(2)由实验得到小灯泡的伏安特性曲线如图中b线,将该小灯泡与一干电池组成闭合电路,该电池两极的电压随电路中电流的变化关系图线如图中a线,则小灯泡与电池连接后的实际功率为    W;若再将一阻值为0.75Ω的电阻串联在电路中,则小灯泡的实际功率

     W.

试题详情

21.平面上的光滑平行导轨MN、PQ上放着光滑导体棒ab、cd,两棒用细线系住,匀强磁场的方向如图甲所示.而磁感应强度B随时间t的变化图线如图乙所示,不计ab、cd间电流的相互作用,则细线中的张力( )

A.由0到t0时间内逐渐增大    B.由0到t0时间内逐渐减小

C.由0到t0时间内不变      D.由t0到t时间内逐渐增大

第Ⅱ卷

试题详情

20.一负电荷从电场中A点由静止释放,只受电场力作用,沿电场线运动到B点,它运动的v-t图象如图甲所示,则两点A、B所在区域的电场线分布情况可能是图乙中的 (  )

  

试题详情


同步练习册答案