0  266878  266886  266892  266896  266902  266904  266908  266914  266916  266922  266928  266932  266934  266938  266944  266946  266952  266956  266958  266962  266964  266968  266970  266972  266973  266974  266976  266977  266978  266980  266982  266986  266988  266992  266994  266998  267004  267006  267012  267016  267018  267022  267028  267034  267036  267042  267046  267048  267054  267058  267064  267072  447090 

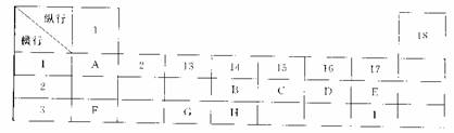
51、(山东省济南市2010届高三年级第一次模拟考试,18)下列为元素周期表的一部分,表中阿拉伯数字(1、2……)是原周期表中行或列的序号。请参照元素A~I在表中的位置,回答下列问题。

   

  (1)B、C两元素中非金属性较强的是      (写出元素名称),请设计一个简单的实验证明这一结论                 

  (2)表中某元素能形成两性氧化物,写出该氧化物溶于氢氧化钠溶液的离子反应方程式

                                     

  (3)表中某元素的单质在常温下为气态,该元素能与A~I中的一种元素构成原子个数比为1:1和1:2的两种共价化合物X和Y,该元素还能与A~I中的另一种元素构成离子个数比为1:1和1:2的两种离子化合物Z和M。写出Z与Y反应的化学方程式:                            

    (4)I元素在周期表里的位置在第     周期、第     族。

     实验室中采用右图所示装置模拟工业上同时制取元素A和I

的单质过程:

     ①写出电极C1上发生反应的电极反应式        

     ②当电极上产生112mL(标准状况)元素I单质气体时(假设

气体完全逸出,溶液体积不变),烧杯中溶液的pH=   

()

(1)(3分)氮(1分),取碳酸钠或碳酸氢钠溶液置于试管中,向其中滴加稀硝酸,观察是否有无色无味的气体产生,HNO3+NaHCO3===NaNO3+H2O+CO2

   或2HNO3+Na2CO3===2NaNO3+H2O+CO2↑(2分)(可不写化学方程式,其他合理的答案也得分)

  (2)(2分)Al2O3+2OH-+3H2O===2[Al(OH)4]-(2分)

  (3)(2分)2Na2O2+2H2O===4NaOH+O2↑(2分)

  (4)(6分)第三周期,VIIA族(2分);

   ①2Cl-→Cl2↑+2e-(分)

②13(2分)

试题详情

50、(2009~2010学年度大连市第二十四中学高三第二次考试题,22)已知由短周期元素组成的A、B、C、D、E五种化合物,它们所含原子数目依次为2、3、4、5、6,其中A、B、C、E含有18个电子,D含有10个电子。请回答:

(1)A的化学式是:      , 用电子式表示B的形成过程           

(2)若C为第一和第三周期元素组成的化合物,C在空气中能够自燃生成两种常见的氧化物,化学方程式是                          。

(3)若C为第一和第二周期元素组成的化合物,在C的溶液中加入少量二氧化锰,有无色气体生成,则C分子中化学键的类型       和      

(4)由第二周期元素形成的氢化物E和C都含有18电子, E是一种6原子分子,可做火箭发动机的燃料,C是一种常见强氧化剂。已知16g液态E与液态C充分反应生成一种液态10电子分子和一种气态单质,并放出838 kJ的热量。回答下列两个问题:

①请写出E的结构式                

②写出E与C反应的热化学方程式:                     

(1)HCl ;略 ;(各1分,共2分)

(2)2PH3 + 4O2  =  P2O5 + 3H2O (2分)

(3)2H2O2 = 2H2O + O2 ↑(1分)    极性键和非极性键 (2分)

(4)略 (1分)   N­24(l)+2H2O2(l)=N2(g)+4H2O(l)   △H=-1676 kJ•mol1(2分)

试题详情

17. 已知向量函数

(Ⅰ)求函数的最小正周期;(Ⅱ)求函数在区间上的最大值和最小值。

试题详情

16.已知椭圆的左焦点为,左准线为,点线段交椭圆于点,若,则      

试题详情

15.从这六个数字中任取两个奇数和两个偶数,组成没有重复数字的四位数的个数为     个。

试题详情

14.某连队身高符合建国60周年国庆阅兵标准的士兵共有45人,其中18-20岁的士兵有15人,21-22岁的士兵有20人,23-24岁的士兵有10人,若该连队有9个参加国庆阅兵的名额,如果按年龄分层选派士兵,那么该连队年龄在21-22岁之间的士兵参加国庆阅兵的人数为     

试题详情

13. 设等差数列的前项和为,若       

试题详情

12.半径为2的球面上有P、M、N、R四点,且PM、PN、PR两两垂直,则的最大值为(    )   A. 8    B. 12     C. 16     D. 24

试题详情

11.已知M在不等式组所表示的平面区域上,点N在

曲线上,那么的最小值是(   )

A.     B.     C.     D.

试题详情

10.如图是一个棱长为2的正四面体的中点,则与平面所成角的正弦值为(    )  A.   B.   C.   D.

试题详情


同步练习册答案