0  267880  267888  267894  267898  267904  267906  267910  267916  267918  267924  267930  267934  267936  267940  267946  267948  267954  267958  267960  267964  267966  267970  267972  267974  267975  267976  267978  267979  267980  267982  267984  267988  267990  267994  267996  268000  268006  268008  268014  268018  268020  268024  268030  268036  268038  268044  268048  268050  268056  268060  268066  268074  447090 

9.如图4,市政府准备修建一座高AB=6m的过街天桥,已知天

桥的坡面AC与地面BC的夹角∠ACB的余弦值为,则坡面

图4
 
AC的长度为

A. m         B.10 m            C. m         D. m

试题详情

8.一个钢管放在V形架内,图3是其截面图,O为钢管的圆心.如果钢管的半径为25 Cm,∠MPN = 60°,则OP 的长为

A.50 Cm         B.25Cm        C.Cm        D.50Cm

试题详情

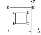
7.如图2,在直角坐标系中,正方形EFOH是正方形ABCD经过位似变换得到的,对角线OE=4 则位似中心的坐标是

A.(-2,2) B.(-2  ,2)   C.(-4,4)  D.(0 ,0)

试题详情

6.如图1,平行四边形中,的垂直平分线交,则的周长是

A.6              B.8               C.9               D.10

 

图3
 
图1
 

试题详情

5.某快餐店用米饭加不同炒菜配制了一批盒饭,配土豆丝炒肉的有25盒,配芹菜炒肉丝的有30盒,配辣椒炒鸡蛋的有10盒,配芸豆炒肉片的有15盒.每盒盒饭的大小、外形都相同,从中任选一盒,不含辣椒的概率是

A.             B.              C.             D.

试题详情

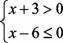
4.不等式组的解集是

A.-3<x≤6       B.3<x≤6          C.-3<x<6        D.x>-3

试题详情

3.自2010年1月1日起,移动电话在本地拨打长途电话时,将取消现行叠加收取的本地通话费;在国内漫游状态下拨打国际及台港澳电话,取消现行叠加收取的漫游主叫通话费.据有关电信企业测算,这些措施每年可为手机用户减负逾60亿元.60亿元用科学计数法表示为

A.元        B.元       C.元        D.

试题详情

2.下列运算正确的是

A.2m3+m3=3m6                      B.m3·m2m6

C.(-m4)3m7                    D.m6÷2m2m4

试题详情

1.6的相反数是

A.6              B.             C              D.

试题详情

37.18岁意味着青春和自立,意味着责任和使命。南通市某中学高三年级同学以“我们是‘90后’”为主题开展探究活动,请你一起参与!

[认识自我]

对于“90后”的评价,大家莫衰一是:有人认为,“90后”是“温室长大的一代”、“迷惘的一代”、“垮掉的一代”,一代不如一代;有人认为,“90后”是“有爱心的一代”、“有担当的一代”、“可敬的一代”,一代牛过一代;还有人认为,对“90后’’的认识不能标签化……苏格拉底有句名言:未经反思的人生是不值得过的。我们要正确审视自己。

(1)请联系实际,运用矛盾分析法谈谈应怎样正确认识自我。

[走进社会]

我们将在经济生活中扮演多种角色:劳动者、经营者、管理者、纳税人……我们将可能是政治生活中的普通选民、人大代表、政协委员、公务员……不管扮演什么角色,我们都要注重主体权利、同时对国家和社会尽责。让负责温暖我们的生活!让尽责铸造我们的未来!

(2)假如你是纳税人和选民,你将如何扮演好这两个社会角色?

[青春誓言]

在学校举行的成人仪式上,l8岁的同学们欢聚一堂,在老师、家长、知名校友和各级领导的祝福下,向青春致礼,立下神圣誓言:“我已长大成人,永远做祖国忠诚的儿女,从今天开始,我以诚心对他人,以孝心对父母,以热心对社会,以忠心对国家!提高修养,增长才干。天地为鉴,国旗为证,十八而志,青春万岁!”。铮铮誓言蕴含了我们青年学子对崇高思想道德目标的追求。

(3)请你运用《文化生活》的相关知识,谈谈应如何追求更高的思想道德目标。

试题详情


同步练习册答案