0  268011  268019  268025  268029  268035  268037  268041  268047  268049  268055  268061  268065  268067  268071  268077  268079  268085  268089  268091  268095  268097  268101  268103  268105  268106  268107  268109  268110  268111  268113  268115  268119  268121  268125  268127  268131  268137  268139  268145  268149  268151  268155  268161  268167  268169  268175  268179  268181  268187  268191  268197  268205  447090 

7.若△ABC的内角满足sinA+cosA>0,tanA-sinA<0,则角A的取值范围是( )

 A.(0,) B.()  C.() D.(,p )

试题详情

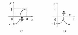
6.函数y=sinx|cotx|(0<x<p )的图像的大致形状是( )

 

试题详情

5.若函数f(x)满足,则f(x)的解析式在下列四式中只有可能是( )

 A.  B.   C.   D.

试题详情

4.(文)若数列{}的前n项和为,则( )

 A.  B.  C.  D.

 (理)已知等比数列{}的前n项和,则等于( )

 A.  B.   C. D.

试题详情

3.若ab是异面直线,且a∥平面a ,那么b与平面a 的位置关系是( )

 A.ba  B.ba 相交   C.ba D.以上三种情况都有可能

试题详情

2.若奇函数f(x)的定义域为R,则有( )

 A.f(x)>f(-x)    C.f(x)≤f(-x)

 C.f(xf(-x)≤0   D.f(xf(-x)>0

试题详情

1.若集合M={x<|x|<1=,N={x|x},则MN=( )

 A.  B.  C.  D.

试题详情

17.BC  18.AB  19.CD  20.AC  21. AD

试题详情

13.A  14.D  15.B   16.B

试题详情

33.(14分)

(1)a、 d(2分)

(2)碳碳双键和羟基(2分); CH3CH2COOH(3分)

(3)CH3(CH2)4COOH+CH2=CHCH2OH     CH3(CH2)4COOCH2CH=CH2 + H2O(4分)

(4)(CH3)3CCH2OOCH(3分)

汕头市2010年高三教学质量测评

理科综合(物理) 试题答案及评分标准

试题详情


同步练习册答案