0  296355  296363  296369  296373  296379  296381  296385  296391  296393  296399  296405  296409  296411  296415  296421  296423  296429  296433  296435  296439  296441  296445  296447  296449  296450  296451  296453  296454  296455  296457  296459  296463  296465  296469  296471  296475  296481  296483  296489  296493  296495  296499  296505  296511  296513  296519  296523  296525  296531  296535  296541  296549  447090 

14.(09宁夏卷26)碱式碳酸铜可表示为:xCuCO3·yCu(OH) 2·zH2O,测定碱式碳酸铜组成的方法有多种。

(1)现采用氢气还原法,请回答如下问题:

①写出xCuCO3·yCu(OH) 2·zH2O与氢气反应的化学方程式             

②试验装置用下列所有仪器连接而成,按氢气流方向的连接顺序是(填入仪器接口字母编号):

(a)( )( )( )( )( )( )( )( )( )( )(l)

 

③称取23.9g某碱式碳酸铜样品,充分反应后得到12.7g残留物,生成4.4g二氧化碳和7.2g水。该样品的结晶水质量为       g,化学式为      

(2)某同学以氮气代替氢气,并用上述全部或部分仪器来测定碱式碳酸铜的组成,你认为是否可行?请说明理由。             

试题详情

13.(09上海卷25) 铁和铝是两种重要的金属,它们的单质及化合物有着各自的性质。

(1)在一定温度下,氧化铁可以与一氧化碳发生下列反应:

  

   ①该反应的平衡常数表达式为:K=               

   ②该温度下,在2L盛有粉末的密闭容器中通入CO气体,10min后,生成了单质铁11.2g。则10min内CO的平均反应速率为                

(2)请用上述反应中某种气体的有关物理量来说明该反应已达到平衡状态:

  ①                                  

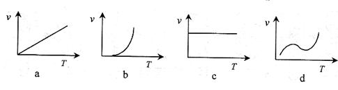
(3)某些金属氧化物粉末和Al粉在镁条的引燃下可以发生铝热反应。下列反应速率(v)和温度(T)的关系示意图中与铝热反应最接近的是      

(4)写出氢氧化铝在水中发生酸式电离的电离方程式:             

欲使上述体系中浓度增加,可加入的物质是          

试题详情

12.(09北京卷26)

以富含硫酸亚铁的工业废液为原料生产氧化铁的工艺如下(部分操作和条件略);

I 从废液中提纯并结晶处

II将溶液与稍过量的溶液混合,得到含的浊液

IV 将浊液过滤,用90°C热水洗涤沉淀,干燥后得到固体

V煅烧,得到固体

已知:在热水中分解

(1)    I中,加足量的铁屑出去废液中的,该反应的离子方程式是     

(2)    II中,需加一定量硫酸,运用化学平衡原理简述硫酸的作用    

(3)    III中,生成的离子方程式是      。若浊液长时间暴露在空气中,会有部分固体表面变为红褐色,该变化的化学方程式是    

(4)    IV中,通过检验来判断沉淀是否洗涤干净。检验操作是是     

(5)    已知煅烧的化学方程式是,现煅烧464.0kg的,得到316.8kg产品,若产品中杂质只有,则该产品中的质量是       kg(摩尔质量/g·

)

试题详情

11.(09广东化学21)

   三草酸合铁酸钾晶体K3  [Fe(C2O4 )3]·3H2O可用于摄影和蓝色印刷。某小组将无水三草酸合铁酸钾在一定条件下加热分解,对所得气体产物和固体产物进行实验和探究。请利用实验室常用仪器、用品和以下限选试剂完成验证和探究过程。

  限选试剂:浓硫酸、1.0 mol·L-1HNO3、1.0 mol·L-1盐酸、1.0 mol·L-1 NaOH、3% H2O2 、0.1mol·L-1KI、0.1 mol·L-1CuSO4、20% KSCN、澄清石灰水、氧化铜、蒸馏水。

(1)将气体产物依次通过澄清石灰水(A)、浓硫酸、灼热氧化铜(B)、澄清石灰水(C),观察到A、C中澄清石灰水都变浑浊,B中有红色固体生成,则气体产物是    

(2)该小组同学查阅资料后推知,固体产物中,铁元素不可能以三价形式存在,而盐只有K2CO3。验证固体产物中钾元素存在的方法是     ,现象是      

(3)固体产物中铁元素存在形式的探究。

   ①提出合理假设

    假设1:      ;      假设2:        ;假设3:     

②设计实验方案证明你的假设(不要在答题卡上作答)

③实验过程

  根据②中方案进行实验。在答题卡上按下表的格式写出实验步骤、预期现象与结论。

实验步骤
预期现象与结论
步骤1:
 
步骤2:
 
步骤3:
 
……
 

试题详情

10.

2,4,6
 
 某CuSO4、Fe2(SO4)3、H2SO4的混合溶液100mL,已知溶液中阳离子的浓度相同(不考虑水解),且的物质的量浓度为6mol·L1,则此溶液最多溶解铁粉的质量为

A.5.6 g          B.11.2g         C.22.4g          D.33.6g

试题详情

8.称取两份铝粉,第一份加入足量的盐酸,第二份加入足量的烧碱溶液。若生成的氢气的质量相同,则两份铝粉的质量比为

A.1 : 1         B.2 : 3         C.3 : 2         D.1 : 6

9 (湛江师院附中2008-2009学年高三级第三次月考)某学生测定CuSO4·H2O晶体的值,数据如下(已知的理论值为5):

坩埚的质量
坩埚的质量+晶体的质量
失水后坩埚的质量+固体的质量
11.7克
14.2克
13.2克

导致上述结果可能的原因:

A.晶体中含有不分解的杂质           B.没有放在干燥器中冷却

C.实验前,晶体表面吸附水          D.没有进行恒重操作

试题详情

7.(广东省揭阳市09测试)不能用来鉴别Na2CO3和NaHCO3两种白色固体的实验操作是

A.分别在这两种物质的溶液中,加入少量澄清石灰水

B.分别加热这两种固体,并将生成的气体通入澄清石灰水中

C.分别在这两种物质的溶液中,加入少量氯化钙溶液

D.分别在这两种物质的等浓度的溶液中,加入等量的稀盐酸

试题详情

6.(广东省揭阳市09测试)下列关于钠的叙述错误的是

A.钠在常温下就容易被氧化            B.钠在空气中燃烧生成Na2O

C.钠燃烧时发出黄色的火焰            D.钠的密度比水小,熔点低于100℃

试题详情

5.(09广东理科基础28)下列说法正确的是

   A.MgSO4晶体中只存在离子键

   B.含Ca2+、Mg2+的水都是硬水

   C.雾是气溶胶,在阳光下可观察到丁达尔效应

D.玻璃是氧化物,成分可表示为

试题详情

4.(09广东理科基础23)下列有关金属及其合金的说法不正确的是

   A.目前我国流通的硬币是由合金材料制造的

   B.生铁、普通钢和不锈钢中的碳含量依次增加

   C.镁在空气中燃烧发出耀眼的白光,可用于制作照明弹

   D.日用铝制品表面覆盖着氧化膜,对内部金属起保护作用

试题详情


同步练习册答案