0  311262  311270  311276  311280  311286  311288  311292  311298  311300  311306  311312  311316  311318  311322  311328  311330  311336  311340  311342  311346  311348  311352  311354  311356  311357  311358  311360  311361  311362  311364  311366  311370  311372  311376  311378  311382  311388  311390  311396  311400  311402  311406  311412  311418  311420  311426  311430  311432  311438  311442  311448  311456  447090 

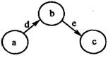
2.右图是表示人体某些信息传递机制的模式图,图示中箭头表示信息的传递方向。下列有关叙述中,正确的是

A.如果该图表示反射弧,则其中的信息都是以局部电流形式传

导的

B.若a、b、c依次表示抗原决定簇、吞噬细胞、T细胞,则该

过程为体液免疫的反应阶段。

   C.如果该图表示细胞中遗传信息的表达过程,则d过程只发生

于细胞核中

  D.着a、b、C依次为下丘脑、垂体、甲状腺,则c分泌的甲状腺激素对a分泌d,b分泌e具有抑制作用

试题详情

选择题:本题包括21小题。每题6分,共126分。每小题只有一个选项符合题意

1.下列有关生物学实验的说法错误的是

A.将正常人的尿液和班氏试剂混合,沸水浴后无砖红色沉淀表明尿液中没有还原糖

B.利用DNA分子杂交原理,可鉴定人的成熟红细胞中是否存在原癌基因

C.利用硫酸铜在碱性条件下与蛋白质的显色反应可以鉴定蛋白质的存在

D.切断小鼠大脑皮层和下丘脑的神经联系,小鼠仍能维持体温恒定

试题详情

25、将近现代历史看作是以商品经济为特征的工业文明取代以自然经济为特征的农业文明的结果,主要表现为经济领域的工业化和市场化、政治领域的民主化和法制化、思想领域的理性化和科学化。以这种视野来研究历史属于

A.全球史观    B.革命史观        C.文明史观    D.现代化史观

第Ⅱ卷(非选择题,共50分)

试题详情

24、一位科学家的墓碑上镌刻着这样的铭文:“他以神一般的力量,……第一个说明了行星的运动和图像。”这位科学家应该是

A.伽利略    B.牛顿     C.爱因斯坦    D.普朗克

试题详情

23、文人画是中国古代绘画艺术的杰出代表,它集文学、书法、绘画及篆刻艺术为一体,强调表现个性,讲究借物抒情,追求神韵意趣,下列绘画作品中反映这一风格的是

A.《清明上河图》    B.《鹳鱼石斧图》   C.《墨梅图》    D.《步辇图》

试题详情

22、文艺复兴、宗教改革和启蒙运动的相同点是

A.崇尚理性和科学的结合      B.批判罗马天主教的愚昧统治

C.坚持国家权力高于教会      D.设计了未来理想的社会制

试题详情


同步练习册答案