0  314026  314034  314040  314044  314050  314052  314056  314062  314064  314070  314076  314080  314082  314086  314092  314094  314100  314104  314106  314110  314112  314116  314118  314120  314121  314122  314124  314125  314126  314128  314130  314134  314136  314140  314142  314146  314152  314154  314160  314164  314166  314170  314176  314182  314184  314190  314194  314196  314202  314206  314212  314220  447090 

15.定义在R上的奇函数,当x≥0时,则关于的方程

的所有解之和为    (用a表示)

试题详情

14.已知为坐标原点,若,则实数t的值为      

试题详情

13.已知等差数列中,有,则在等比数列中,会有类似的结论       

试题详情

12、已知一个公园的形状如图所示,现有4种不同的植物要种在此公园的A,B,C,D,E这五个区域内,要求有公共边界的的两块相邻区域种不同的植物,共有      种不同的种法.

试题详情

11、若的展开式中,二项式系数最大的项只有第三项,则展开式中常数项的值为    .(用数字作答)

试题详情

10、定义在上的函数满足,当,则           (   )

A.        B.

C.       D.

试题详情

9、已知满足且目标函数的最大值为7,最小值为1,

              (    )

A.2     B.1       C.-1      D.-2

试题详情

8、对于非零向量,定义运算“#”:

,其中的夹角.有两两不共线的三个向量,下列结论:

①若,则;②

③若,则;④.其中正确的个数有   (   )

A.1个   B.2个 C.3个   D.4个

试题详情

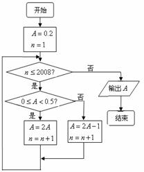
7、已知某程序框图如图所示,则该程序运行后输出的结果为(   )

A.         B.

C.         D.

试题详情

6.在北京奥运会中,外语学院的3名男生与2名女生志愿者被随机安排到3个不同运动场馆担任翻译,每个场馆至少一位志愿者,则恰好仅有1男1女两位志愿者被安排到同一场馆的概率是         (   )

A.       B.       C.      D.

试题详情


同步练习册答案