0  340075  340083  340089  340093  340099  340101  340105  340111  340113  340119  340125  340129  340131  340135  340141  340143  340149  340153  340155  340159  340161  340165  340167  340169  340170  340171  340173  340174  340175  340177  340179  340183  340185  340189  340191  340195  340201  340203  340209  340213  340215  340219  340225  340231  340233  340239  340243  340245  340251  340255  340261  340269  447090 

12.甲、乙、丙、丁分别是A12(SO4)3、Ba(NO3)2、FeCl2、KOH四种物质中的一种。若将甲溶液滴入丙溶液中,发现有白色沉淀生成,继续滴加 则沉淀消失;而将甲溶液滴入丁溶液中,无明显现象发生。据此可判断乙物质是

   A.A12(SO4)3   B.Ba(NO3)2   C.FeCl2   D.KOH

试题详情

11.某固体单质X和气体单质Y在一恒容密闭容器中一定条件下化合生成气体Z,相同温度下测得容器内压强不发生变化,并知Z密度是Y密度的两倍。由此推断下列叙述中正确的是                            

A.Z为双原子分子               B. X一定是金属

C.Z分子组成中含X、Y原子数之比为2∶1   D.Z的相对分子质量是Y的两倍

试题详情

10.下列各组物质不能用一种试剂通过化学反应区别的是

A.MnO2、CuO、FeO      B.(NH4)2SO4、K2SO4、NH4Cl

C.AgNO3、KNO3、Na2CO3   D.Na2CO3、NaHCO3、K2CO3      

试题详情

9.对某无色溶液中所含离子进行鉴别,根据实验事实所得出的相应结论正确的是

 
实验事实
结论
A
加入AgNO3溶液生成白色沉淀,加稀盐酸沉淀不消失
一定有Cl- 存在
B
通人CO2生成白色沉淀,CO2过量沉淀也不消失
一定有A1O2- 存在
C
通人Cl2后溶液变为黄色,加入淀粉溶液后溶液变蓝
一定有I- 存在
D
加入紫色石蕊试液,溶液变红色
一定有OH- 存在

试题详情

8.下列离子方程式中,正确的是

A.向Mg(HCO3)2溶液中加入过量的NaOH溶液

    Mg2++2HCO+2OH-     MgCO3↓+CO+2H2O

B.向NH4Al(SO4)2溶液中滴入Ba(OH)2使SO反应沉淀

    2Ba2++4OH-+Al3++2SO   2BaSO4↓+AlO2-+2H2O

C.足量的CO2通入饱和碳酸钠溶液中:CO2+CO+H2O   2HCO

D.向Fe(NO3)2溶液中加入稀盐酸:3Fe2++4H++NO    3Fe3++NO↑+2H2O

试题详情

7.水热法制备Fe3O4纳米颗粒的反应是3Fe2++2S2O32-+O2+xOH-   Fe3O4+S4O+2H2O,下列说法中,正确的是

A.x=2            B.参加反应的Fe2+全部做还原剂

C.每生成1mol Fe3O4,反应转移的电子总数为4mol

D.1mol Fe2+被氧化时,被Fe2+还原的O2的物质的量为1/3mol

试题详情

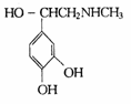
6.肾上腺素可用于支气管哮喘过敏性反应,其结构简式如下。下列关于肾上腺素的叙述正确的是 

A.该物质的分子式为C9H16NO3

B.该物质在强碱的醇溶液中可以发生消去反应                  

C.1 mol该物质与NaOH溶液反应,可以消耗2 mol NaOH

D.该物质与浓溴水既能发生取代反应,又能发生加成反应

试题详情

5.正确掌握化学用语和化学基本概念是学好化学的基础。下列有关表述中正确的一组是

  A.过氧乙酸(CH3COOOH)与羟基乙酸(HOCH2COOH)互为同分异构体;

        互为同系物

  B.金刚石、CH4粒子的空间构型均为正四面体;晶体硅、碳化硅均为原子晶体

C.16O与18O互为同位素;互为同素异形体

D.Ca2+的结构示意图为       ,,NH4CI的电子式为

试题详情

4.设NA代表阿伏加德罗常数,以下说法中正确的是

A.18克重水含有电子数为10NA

B.1molCl2与足量烧碱反应时共转移2NA个电子

C.1mol十七烷分子中的共价键总数为52NA

D.常温常压,活泼金属跟稀硫酸反应生成1mol H2,转移电子数为NA

试题详情

3.用4种溶液进行实验,下表中“操作及现象”与“溶液”对应关系错误的是

选项
操作及现象
溶液
A
通入CO2,溶液变浑浊。再升高至65℃以上,溶液变澄清。
C6H5ONa溶液
B
通入CO2,溶液变浑浊。继续通CO2至过量,浑浊消失。
Na2SiO3溶液
C
通入CO2,溶液变浑浊。再加入品红溶液,红色褪去。
Ca(ClO)2溶液
D
通入CO2,溶液变浑浊。继续通CO2至过量,浑浊消失。再加入足量NaOH溶液,又变浑浊。
Ca(OH)2溶液

试题详情


同步练习册答案