0  341551  341559  341565  341569  341575  341577  341581  341587  341589  341595  341601  341605  341607  341611  341617  341619  341625  341629  341631  341635  341637  341641  341643  341645  341646  341647  341649  341650  341651  341653  341655  341659  341661  341665  341667  341671  341677  341679  341685  341689  341691  341695  341701  341707  341709  341715  341719  341721  341727  341731  341737  341745  447090 

14. 有八种物质:①甲烷、②苯、③聚乙烯、④乙烯、⑤2-丁炔、⑥己烷、⑦邻-二甲苯、⑧氯乙烯,既能使酸性高锰酸钾溶液褪色又能与溴水反应使之褪色的是

A.③④⑤⑧   B.④⑤⑦⑧   C.④⑤⑧   D.③④

试题详情

13.某共价化合物含C、H、N三种元素,已知其分子内的4个N原子排列成内空的四面体结构,且每两个N原子间都有1个碳原子,而无C-C、C==C、C≡C键,则该化合物的化学式是

A.C6H12N4     B.C4H8N4     C.C6H10N4     D.C6H8N4 

试题详情

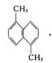
12.下列关于     

的说法正确的是 

A.所有碳原子一定在同一平面上 

B.最多只可能有9个碳原子在同一平面上 

C.有7个碳原子可能在同一直线上 

D.只可能有5个碳原子在同一直线上 

试题详情

11.下列说法正确的是

A.分子组成相差一个或若干个CH2原子团的物质互称为同系物

B.相对分子质量相同的不同物质,一定互为同分异构体

C.化学式相同的不同有机物一定互为同分异构体

D.每个碳原子的化合价都已饱和,碳原子之间只以单键相结合的烃一定是烷烃

试题详情

10.下列烷烃在光照下与氯气反应,只生成一种一氯代烃的是

A.CH3CH2CH2CH3            B.CH3C(CH3)3

C.CH3CH (CH3)2            D.(CH3)2CHCH2CH3

试题详情

9.实验室用溴和苯反应制取溴苯,得到粗溴苯后,要用如下操作精制:①蒸馏、②水洗、③用干燥剂干燥、④10%NaOH溶液润洗、⑤水洗。正确的操作顺序是

A.①②③④⑤           B.②④⑤③① 

C.④②③①⑤           D.④②①⑤③ 

试题详情

8. 含有2-5个碳原子的直链烷烃沸点和燃烧热的数据见下表:

烷烃名称
乙烷
丙烷
丁烷
戊烷
沸点(℃)
-88.6
-42.1
-0.5
36.1
*燃烧热(kJ·mol-1)
1560.7
2219.2
2877.6
3535.6

* 燃烧热:1 mol物质完全燃烧,生成二氧化碳、液态水时所放出的热量。

根据表中数据,下列判断错误的是

A.正庚烷在常温常压下肯定不是气体

B.烷烃燃烧热和其所含碳原子数成线性关系

C.随碳原子数增加,烷烃沸点逐渐升高

D.随碳原子数增加,烷烃沸点和燃烧热都成比例增加

试题详情

7. 在一条件下,将A、B、C三种炔烃所组成的混合气体4g在催化剂作用下与过量的氢气发生加成反应,可生成4.4g对应的三种烷烃,则所得烷烃中一定有               

  A.戊烷     B.丁烷     C.丙烷     D.乙烷

试题详情

6.已知分子式为C12H12的物质A的结构简式为         A 苯环上的二溴代

物有九种同分异构体,由此推断A苯环上的四溴代物的异构体的数目有

A.9种       B.10种      C.11种      D.12种 

试题详情

5.以乙烯和丙烯混合物为单体,发生加聚反应,不可能得到的是

A.  CH2-CH2            B.  CH2-CH2-CH2-CH2-CH2

 

C.  CH2-CH-CH2-CH2             D.  CH2-CH2-CH2-CH

 

试题详情


同步练习册答案