0  356236  356244  356250  356254  356260  356262  356266  356272  356274  356280  356286  356290  356292  356296  356302  356304  356310  356314  356316  356320  356322  356326  356328  356330  356331  356332  356334  356335  356336  356338  356340  356344  356346  356350  356352  356356  356362  356364  356370  356374  356376  356380  356386  356392  356394  356400  356404  356406  356412  356416  356422  356430  447090 

8.质量不同而具有相同动能的两个物体,在动摩擦因数相同的水平面上滑行直到停止,则

A.质量大的滑行距离大     B.质量大的滑行时间短

C.它们克服阻力做功一样多   D.它们运动的加速度不一样大

试题详情

7.我国将要发射一颗绕月运行的探月卫星“嫦娥1号”。设该卫星的轨道是圆形的,且贴近月球表面。已知月球的质量为地球质量的1/80,月球的半径约为地球半径的1/4,地球上的第一宇宙速度约为7.9km/s,则该探月卫星绕月运行的速率约为 

A.0.4 km/s   B.1.8 km/s   C.11 km/s   D.36 km/s

试题详情

6.两颗人造卫星A、B绕地球做圆周运动,周期之比为TA:TB=1:8,则轨道半径之比和运动速率之比分别为

  A.RA:RB=4:1,VA:VB=1:2;     B.RA:RB=4:1,VA:VB=2:1;

  C.RA:RB=1:4,VA:VB=1:2;     D.RA:RB=1:4,VA:VB=2:1;

试题详情

5.质量为m的物体沿倾角为θ的斜面滑到底端时的速度大小为v,则此时重力的瞬时功率为  

A.mgv   B.mgvsinθ    C.mgvcosθ    D.mgvtanθ

试题详情

4.如图所示,当汽车通过拱桥顶点时的速度为10m/s时,车对桥的压力是车重的3/4, 如  果要使汽车在粗糙的桥面行驶至桥顶时,不受摩擦力的作用,则汽车通过桥的速度应为

  A.15m/s;    B.20m/s;   

  C.25m/s;    D.30m/s

试题详情

3.一辆汽车在水平公路上转弯,行驶路线由M向N,且速度逐渐减小。如图所示四图分别  画出了汽车转弯时所受合力F的方向,其中正确的是

试题详情

2.带电微粒所带的电荷量的值不可能的是下列的

 A.2.4×10-19C   B.-6.4×10-19C   C.-1.6×10-19C   D.4×10-17C

试题详情

1.许多科学家在物理学发展过程中都做出了重要贡献,下列表述与事实不符的是

A.牛顿最早提出了万有引力定律并成功地测出了万有引力常量

B.亚里士多德认为力是维持物体运动状态的原因

C.胡克认为只有在一定的条件下,弹簧的弹力才与弹簧的形变量成正比

D.库仑总结并确认了真空中两个静止点电荷之间的相互作用规律

试题详情

 例12 三个绝缘的不带电的相同的金属球A,B,C靠在一起,如图8-11所示,再将一个带正电的物体从左边靠近A球,并固定好,再依次拿走C球、B球、A球,问:这三个金属球各带什么电?并比较它们带电量的多少。

 [错解分析]错解:

 将带正电的物体靠近A球,A球带负电,C球带正电,B球不带电。将C,B,A三球依次拿走,C球带正电,B球不带电,A球带负电,QA=QC

 认为将C球拿走后,A,B球上所带电量不改变。其实,当C球拿走后,A,B球原来的静电平衡已被破坏,电荷将要重新运动,达到新的静电平衡。

 [正确解答]

 将带正电的物体靠近A,静电平衡后,A,B,C三球达到静电平衡,C球带正电,A球带负电,B球不带电。当将带正电的C球移走后,A,B两球上的静电平衡被打破,B球右端电子在左端正电的物体的电场的作用下向A运动,形成新的附加电场,直到与外电场重新平衡时为止。此时B球带正电,A球所带负电将比C球移走前多。依次将C,B,A移走,C球带正电,B球带少量正电,A球带负电,且A球带电量比C球带电量多。

|QA|=|QB|+|QC|

 [小结]

 在学习牛顿第二定律时,当外力发生变化时,加速度就要发生变化。这种分析方法不仅适用于力学知识,而且也适用于电学知识,本题中移去C球,电场发生了变化,电场力相应的发生了变化,要重新对物理过程进行分析,而不能照搬原来的结论。

 例13 如图8-12所示,当带电体A靠近一个绝缘导体B时,由于静电感应,B两端感应出等量异种电荷。将B的左端接地,绝缘导体B带何种电荷?

 [错解分析]错解:对于绝缘体B,由于静电感应左端带负电,右端带正电。左端接地,左端电荷被导走,导体B带正电。

 将导体B孤立考虑,左端带负电,右端带正电,左端接地后左边电势比地电势低,所以负电荷将从电势低处移到电势高处。即绝缘体B上负电荷被导走。

 [正确解答]

 因为导体B处于正电荷所形成的电场中,而正电荷所形成的电场电势处处为正,所以导体B的电势是正的,UB>U;而负电荷在电场力的作用下总是从低电势向高电势运动,B左端接地,使地球中的负电荷(电子)沿电场线反方向进入高电势B导体的右端与正电荷中和,所以B导体将带负电荷。

 例14 如图8-13所示,质量为m,带电量为q的粒子,以初速度v0,从A点竖直向上射入真空中的沿水平方向的匀强电场中,粒子通过电场中B点时,速率vB=2v0,方向与电场的方向一致,则A,B两点的电势差为:

 

 [错解分析]错解:带电粒子在电场中运动,一般不考虑带电粒子的重力,根据动能定理,电场力所做的功等于带电粒子动能的增量,电势差等于动能增量与电量Q的比值,应选D。

 带电粒子在电场中运动,一般不考虑带电粒子的重力,则粒子在竖直方向将保持有速度v0,粒子通过B点时不可能有与电场方向一致的2v0,根据粒子有沿场强方向的速度2v0,则必是重力作用使竖直向上的速度变为零。如一定不考虑粒子重力,这只有在电场无限大,带电粒子受电场力的作用,在电场方向上的速度相比可忽略不计的极限状态,且速度沿电场方向才能成立。而本题中v0与vB相比不能忽略不计,因此本题应考虑带电粒子的重力。

 [正确解答]

 在竖直方向做匀减速直线运动:2gh = v02

 

 根据动能定理

 

 [小结]

 根据初、末速度或者运动轨迹判断物体的受力情况是解决与运动关系问题的基本功。即使在电学中,带电粒子的运动同样也要应用这个基本功。通过这样一些题目的训练,多积累这方面的经验,非常必要。

 例15 置于真空中的两块带电的金属板,相距1cm,面积均为10cm2,带电量分别为Q1=2×10-8C,Q2=-2×10-8C,若在两板之间的中点放一个电量q=5×10-9C的点电荷,求金属板对点电荷的作用力是多大?

 [错解分析]错解:点电荷受到两板带电荷的作用力,此二力大小相等,方向相同,由

 库仑定律只适用于点电荷间相互作用,本题中两个带电金属板面积较大,相距较近,不能再看作是点电荷,应用库仑定律求解就错了。

 [正确解答]

 两个平行带电板相距很近,其间形成匀强电场,电场中的点电荷受到电场力的作用。

 

 [小结]

 如果以为把物理解题当作算算术,只要代入公式就完事大吉。那就走入了学习物理的误区。

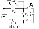
 例16 如图8-15电路中,电键K1,K2,K3,K4均闭合,在平行板电容器C的极板间悬浮着一带电油滴P,

 (1)若断开K1,则P将__________;

 (2)若断开K2,则P将________;

 (3)若断开K3,则P将_________;

 (4)若断开K4,则P将_______。

 [错解分析]错解:(1)若断开K1,由于R1被断开,R2上的电压将增高,使得电容器两端电压下降,则P将向下加速运动。

 (2)若断开K2,由于R3被断开,R2上的电压将增高,使得电容器两端电压下降,则P将向下加速运动。

 (3)若断开K3,由于电源被断开,R2上的电压将不变,使得电容器两端电压不变,则P将继续悬浮不动。

 (4)若断开K4,由于电源被断开,R2上的电压将变为零,使得电容器两端电压下降,则P将加速下降。

 上述四个答案都不对的原因是对电容器充放电的物理过程不清楚。尤其是充电完毕后,电路有哪些特点不清楚。

 [正确解答]

 电容器充电完毕后,电容器所在支路的电流为零。电容器两端的电压与它所并联的两点的电压相等。本题中四个开关都闭合时,有R1,R2两端的电压为零,即R1,R2两端等势。电容器两端的电压与R3两端电压相等。

 (1)若断开K1,虽然R1被断开,但是R2两端电压仍为零,电容器两端电压保持不变,则P将继续悬浮不动

 (2)若断开K2,由于R3被断开,电路再次达到稳定时,电容器两端电压将升高至路端电压R2上的电压仍为零,使得电容器两端电压升高,则P将向上加速运动。

 (3)若断开K3,由于电源被断开,电容器两端电压存在一个回路,电容器将放电至极板两端电压为零,P将加速下降。

 (4)K4断开,电容器两端断开,电量不变,电压不变,场强不变,P将继续悬浮不动。

 [小结]

 在解决电容器与直流电路相结合的题目时,要弄清楚电路的结构,还要会用静电场电势的观点分析电路,寻找等势点简化电路。

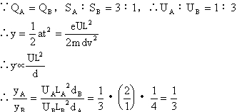
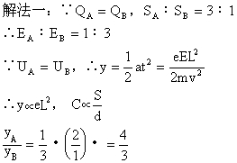
 例17 有两个带电量相等的平行板电容器A和B,它们的正对面积之比SA∶SB=3∶1,板长之比∶LA∶LB=2∶1,两板距离之比dA∶dB=4∶1,两个电子以相同的初速度沿与场强垂直的方向分别射入两电容器的匀强电场中,并顺利穿过电场,求两电子穿越电场的偏移距离之比。

 [错解分析]错解:

 

 把电容器的电压看成是由充电电量和两板正对面积决定而忽视了板间距离对电压的影响,所以电压比和偏离比都搞错了。

 [正确解答]

    

 [小结]

 高考中本题只能作为一道选择题(或填空题)出现在试卷上。很多考生为了腾出时间做大题,急急忙忙不做公式推导,直接用数字计算导致思考问题不全面,以至会做的题目得不到分。同时按部就班解题,养成比较好的解题习惯,考试时就会处变不惊,稳中求准,稳中求快。

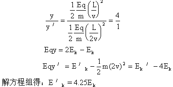
 例18 在平行板电容器之间有匀强电场,一带电粒子以速度v垂直电场线射入电场,在穿越电场的过程中,粒子的动能由Ek增加到2Ek,若这个带电粒子以速度2v垂直进入该电场,则粒子穿出电场时的动能为多少?

 [错解分析]错解:设粒子的的质量m,带电量为q,初速度v;匀强电场为E,在y方向的位移为y,如图8-16所示。

 认为两次射入的在Y轴上的偏移量相同。实际上,由于水平速度增大带电粒子在电场中的运动时间变短。在Y轴上的偏移量变小。

 [正确解答]

 建立直角坐标系,初速度方向为x轴方向,垂直于速度方向为y轴方向。设粒子的的质量m,带电量为q,初速度v;匀强电场为E,在y方向的位移为y。速度为2v时通过匀强电场的偏移量为y′,平行板板长为L。

 由于带电粒子垂直于匀强电场射入,粒子做类似平抛运动。

 

 两次入射带电粒子的偏移量之比为

 

 [小结]

 当初始条件发生变化时,应该按照正确的解题步骤,从头再分析一遍。而不是想当然地把上一问的结论照搬到下一问来。由此可见,严格地按照解题的基本步骤进行操作,能保证解题的准确性,提高效率。其原因是操作步骤是从应用规律的需要归纳出来的。

 例19 A,B两块平行带电金属板,A板带负电,B板带正电,并与大地相连接,P为两板间一点。若将一块玻璃板插入A,B两板间,则P点电势将怎样变化。

 [错解分析]错解:

 UpB=Up-UB=Ed

 电常数ε增大,电场强度减小,导致Up下降。

 没有按照题意画出示意图,对题意的理解有误。没有按照电势差的定义来判断PB两点间电势差的正负。

 [正确解答]

 按照题意作出示意图,画出电场线,图8-17所示。

 我们知道电场线与等势面间的关系:“电势沿着电场线的方向降落”所以UpB=Up-UB<0,B板接地UB=0

 UBp=UB-Up=0-Up

 Up=-Ed

 常数ε增大,电场强度减小,导致Up上升。

 [小结]

 如何理解PB间的电势差减小,P点的电势反倒升高呢?请注意,B板接地Up<0,PB间的电势差减小意味着Up比零电势降落得少了。其电势反倒升高了。

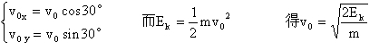
 例20、 1000eV的电子流在两极板中央斜向上方进入匀强电场,电场方向竖直向上,它的初速度与水平方向夹角为30°,如图8-18。为了使电子不打到上面的金属板上,应该在两金属板上加多大电压U?

 [错解分析]错解:

 电子流在匀强电场中做类似斜抛运动,设进入电场时初速度为v0

 

 因为电子流在电场中受到竖直向下电场力作用,动能减少。欲使电子刚好打不到金属板上有Vr=0,此时电子流动能

   

 电子流在电场中受到电场力作用,电场力对电子做功We= Fes = eEs其中s必是力的方向上位移,即d/2,所以We=eU,U是对应沿d方向电势降落。则电子从C到A,应对应We=eUAC,故上面解法是错误的。

 [正确解答]

 电子流在匀强电场中做类似斜抛运动,欲使电子刚好不打金属板上,则必须使电子在d/2内竖直方向分速度减小到零,设此时加在两板间的电压为U,在电子流由C到A途中,

 电场力做功We=EUAC,由动能定理

 

 

 至少应加500V电压,电子才打不到上面金属板上。

 [小结]

 动能定理是标量关系式。不能把应用牛顿定律解题方法与运用动能定理解题方法混为一谈。

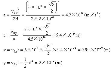
 例21 如图8-19,一个电子以速度v0=6.0×106m/s和仰角α=45°从带电平行板电容器的下板边缘向上板飞行。两板间场强E= 2.0×104V/m,方向自下向上。若板间距离d=2.0×10-2m,板长L=10cm,问此电子能否从下板射至上板?它将击中极板的什么地方?

 [错解分析]错解:规定平行极板方向为x轴方向;垂直极板方向为y轴方向,将电子的运动分解到坐标轴方向上。由于重力远小于电场力可忽略不计,则y方向上电子在电场力作用下做匀减速运动,速度最后减小到零。

∵vt2-v02 = 2as

y= d= s vt= 0

 

 即电子刚好击中上板,击中点离出发点的水平位移为3.99×10-2(m)。

 为d,(击中了上板)再求y为多少,就犯了循环论证的错误,修改了原题的已知条件。

 [正确解答]

 应先计算y方向的实际最大位移,再与d进行比较判断。

 

  

 由于ym<d,所以电子不能射至上板。

 

 [小结] 因此电子将做一种抛物线运动,最后落在下板上,落点与出发点相距1.03cm。

 斜抛问题一般不要求考生掌握用运动学方法求解。用运动的合成分解的思想解此题,也不是多么困难的事,只要按照运动的实际情况把斜抛分解为垂直于电场方向上的的匀速直线运动,沿电场方向上的坚直上抛运动两个分运动。就可以解决问题。

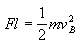
 例22 一个质量为m,带有电荷-q的小物块,可在水平轨道Ox上运动,O端有一与轨道垂直的固定墙,轨道处于匀强电场中,场强大小为E,方向沿Ox轴正方向,如图8-20所示,小物体以初速v0从x0沿Ox轨道运动,运动时受到大小不变的摩擦力f作用,且f<qE。设小物体与墙碰撞时不损失机械能且电量保持不变。求它在停止运动前所通过的总路程s。

 [错解分析]错解:错解一:物块向右做匀减速运动到停止,有

 

 错解二:小物块向左运动与墙壁碰撞后返回直到停止,有W=△Ek,得

 

 错误的要害在于没有领会题中所给的条件f>Eq的含义。当物块初速度向右时,先减速到零,由于f<Eq物块不可能静止,它将向左加速运动,撞墙后又向右运动,如此往复直到最终停止在轨道的O端。初速度向左也是如此。

 [正确解答]

 设小物块从开始运动到停止在O处的往复运动过程中位移为x0,往返路程为s。根据动能定理有

 

 [小结]

 在高考试卷所检查的能力中,最基本的能力是理解能力。读懂题目的文字并不困难,难的是要抓住关键词语或词句,准确地在头脑中再现题目所叙述的实际物理过程。常见的关键词语有:“光滑平面、缓慢提升(移动)、伸长、伸长到、轻弹簧、恰好通过最高点等”这个工作需要同学们平时多积累。并且在做新情境(陌生题)题时有意识地从基本分析方法入手,按照解题的规范一步一步做,找出解题的关键点来。提高自己的应变能力。

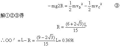
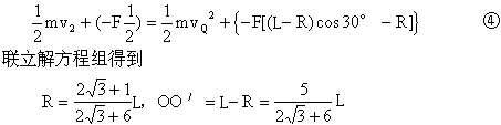
 例23 如图8-21所示,长为L的绝缘细线,一端悬于O点,另一端连接一质量为m的带负电小球,置于水平向右的匀强电场中,在O点向右水平拉直后从静止释放,细线碰到钉子后要使小球刚好饶钉子O′在竖直平面内作圆周运动,求OO′长度。

 [错解分析]错解:摆球从A落下经B到C的过程中受到重力G,绳子的拉力T和电场力F三个力的作用,并且重力和电场力做功,拉力不做功,由动能定理

 

 摆球到达最低点时,摆线碰到钉子O′后,若要小球刚好绕钉子O′在竖直平面内做圆周运动,如图8-22。则在最高点D应满足:

 从C到D的过程中,只有重力做功(负功),由机械能守恒定律

 

 考生以前做过不少“在重力场中释放摆球。摆球沿圆弧线运动的习题”。受到这道题思维定势的影响,没能分析出本题的摆球是在重力场和电场叠加场中运动。小球同时受到重力和电场力的作用,这两个力对摆球运动轨迹都有影响。受“最高点”就是几何上的最高点的思维定势的影响,没能分析清楚物理意义上的“最高点”含义。在重力场中应是重力方向上物体运动轨迹的最高点,恰好是几何意义上的最高点。而本题中,“最高点”则是重力与电场力的合力方向上摆球运动的轨迹的最高点。

 [正确解答]

 本题是一个摆在重力场和电场的叠加场中的运动问题,由于重力场和电场力做功都与路径无关,因此可以把两个场叠加起来看成一个等效力场来处理,如图8-23所示,

 ∴θ=60°。

 开始时,摆球在合力F的作用下沿力的方向作匀加速直线运动,从A点运动到B点,由图8-23可知,△AOB为等边三角形,则摆球从A到B,在等效力场中,由能量守恒定律得:

 在B点处,由于在极短的时间内细线被拉紧,摆球受到细线拉力的冲量作用,法向分量v2变为零,切向分量

 接着摆球以v1为初速度沿圆弧BC做变速圆周运动,碰到钉子O′后,在竖直平面内做圆周运动,在等效力场中,过点O′做合力F的平行线与圆的交点为Q,即为摆球绕O′点做圆周运动的“最高点”,在Q点应满足

 过O点做OP⊥AB取OP为等势面,在等效力场中,根据能量守恒定律得:

 

 [小结]

 用等效的观点解决陌生的问题,能收到事半功倍的效果。然而等效是有条件的。在学习交流电的有效值与最大值的关系时,我们在有发热相同的条件将一个直流电的电压(电流)等效于一个交流电。本题中,把两个场叠加成一个等效的场,前提条件是两个力做功都与路径无关。

试题详情

4.水平弹簧振子的弹簧应为如图6-2a或6-2b的样子。当振子的位置在平衡位置两侧时,弹簧长度是不同的。所以选项D不对。

 另外,符合题意条件的不一定非选最大位移处的两点,也可以选其他的点分析,如图6-3 P、Q两点,同样可以得出正确结论。

 所以此题的正确答案为A,C。

 例2 一个做简谐运动的弹簧振子,周期为T,振幅为A,设振子

 A.t1=t2  B.t1<t2

 C.t1>t2  D.无法判断

  度也大,因而时间短,所以t1>t2,应选C。

 错解三:因为这是一个变加速运动问题,不能用匀速运动或匀变速运动规律求解,因而无法判断t1和t2的大小关系,所以选D。

 主要是对简谐运动的特殊运动规律不清楚,只记住了周期公式,没注意分析简谐运动的全过程,没能深入地理解和掌握这种运动形式的特点。因而解题时错误地沿用了匀速或匀变速运动的规律,选择A的同学就是用匀速运动规律去解,而选择C的同学用了匀变速运动规律去解,因而错了。事实上,简谐运动的过程有其自身的许多规律,我们应该用它的特殊规律去求解问题,而不能用匀速或匀变速运动规律去求解。

 [正确解答] 方法一:用图象法,画出x-t图象,从图象上,我们可以很直观地看出:t1<t2,因而正确答案为:B。

 方法二:从图象为正弦曲线和数学知识可写出位移随时间的函数关系式,物理学上称为振动方程,从平衡位置开始,振子的振动方程为:

       

 

   

 [小结] 以上两种方法,第一种方法是定性分析,在选择题练习时,是要重点掌握的。第二种方法可以进行定量计算,但由于要涉及振动方程,所以不做统一要求。

  t'= nT + t2。此处,为了题目简明起见,题文中用了“第一次”和“最短时间”等字样。否则就无法比较两个过程所用时间的长短。

 例3 一个弹簧振子,第一次被压缩x后释放做自由振动,周期为T1,第二次被压缩2x后释放做自由振动,周期为T2,则两次振动周期之比T1∶T2为 [ ]

 A.1∶1  B.1∶2

 C.2∶1  D.1∶4

 [错解分析]错解:压缩x时,振幅为x,完成一次全振动的路程为4x。压缩2x时,振幅即为2x,完成一次全振动的路程为8x。由于两种情况下全振动的路程的差异,第二次是第一次的2倍。所以,第二次振动的周期一定也是第一次的2倍,所以选B。

 上述解法之所以错误是因为把振子的运动看成是匀速运动或加速度恒定的匀加速直线运动了。用了匀速或匀加速运动的规律。说明这些同学还是没有掌握振动的特殊规律。

 [正确解答] 事实上,只要是自由振动,其振动的周期只由自身因素决定,对于弹簧振子而言,就是只由弹簧振子的质量m和弹簧的劲度系数k决定的,而与形变大小、也就是振幅无关。所以只要弹簧振子这个系统不变(m,k不变),周期就不会改变,所以正确答案为A。

 [小结] 本题给出的错解是初学者中最常见的错误。产生这一错误的原因是习惯于用旧的思维模式分析新问题,而不善于抓住新问题的具体特点,这反映了学习的一种思维定势。只有善于接受新知识、新方法,并将其运用到实际问题中去,才能开阔我们分析、解决问题的思路,防止思维定势。

 例4 一个单摆,如果摆球的质量增加为原来的4倍,摆球经过平

 A.频率不变,振幅不变  B.频率不变,振幅改变

 C.频率改变,振幅不变  D.频率改变,振幅改变

 [错解分析] 错解一:因为单摆的周期(频率)是由摆长L和当地重 变(指平衡位置动能也就是最大动能),由机械能守恒可知,势能也不变。所以振幅也不变,应选A。

 而振幅与质量、速度无关(由上述理由可知)所以振幅不变,应选C。

 错解三:认为频率要改变,理由同错解二。而关于振幅的改变与否,除了错解一中所示理由外,即总能量不变,而因为重力势能EP= mgh,EP不变,m变为原来的4倍,h一定变小了,即上摆到最高点的高度下降了,所以振幅要改变,应选D。

 此题主要考查决定单摆频率(周期)和振幅的是什么因素,而题中提供了两个变化因素,即质量和最大速度,到底频率和振幅与这两个因素有没有关系。若有关系,有什么关系,是应该弄清楚的。

 而错解二和错解三中都认为频率不变,这是因为为不清楚决定单摆的因素是摆长L和当地重力加速度g,而与摆球质量及运动到最低点的速度无关。

 错解二中关于频率不变的判断是正确的,错误出现在后半句的结论上。判断只从能量不变去看,当E不变时,EP= mgh,m变大了,h一定变小。说明有些同学考虑问题还是不够全面。

 [正确解答] (1)实际上,通过实验我们已经了解到,决定单单摆的周期与质量无关,与单摆的运动速度也无关。当然,频率也与质量和速度无关,所以不能选C,D。

 (2)决定振幅的是外来因素。反映在单摆的运动中,可以从能量去观察,从上面分析我们知道,在平衡位置(即最低点)时的动能的重力势能也不变。但是由于第二次摆的质量增大了(实际上单摆已经变成另一个摆动过程了),势能EP= mgh不变,m大了,h就一定变小了,也就是说,振幅减小了。因此正确答案应选B。

 [小结] 本题的分析解答提醒我们,一是考虑要全面,本题中m,v两因素的变化对确定的单摆振动究竟会产生怎样的影响,要进行全面分析;二是分析问题要有充分的理论依据,如本题中决定单摆振动的频率

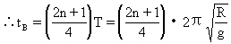
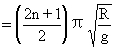
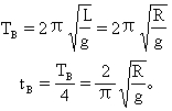
 例5 如图6-5所示,光滑圆弧轨道的半径为R,圆弧底部中点为O,两个相同的小球分别在O正上方h处的A点和离O很近的轨道B点,现同时释放两球,使两球正好在O点相碰。问h应为多高?

 [错解分析]错解:对B球,可视为单摆,延用单摆周期公式可求B球到达O点的时间:

 对A球,它做自由落体运动,自h高度下落至O点

 

   

 上述答案并没有完全错,分析过程中有一点没有考虑,即是振动的周期性,因为B球在圆形轨道上自B点释放后可以做往复的周期性运动,除了经过 上述解答漏掉一些解,即上述解答只是多个解答中的一个。

 

 对B球振动周期

 到达O点的时间为

            显然,前面的解仅仅是当n=0时的其中一解而已。

 

 [小结] 在解决与振动有关的问题时,要充分考虑到振动的周期性,由于振动具有周期性,所以此类问题往往答案不是一个而是多个。

 例6 一简谐波的波源在坐标原点o处,经过一段时间振动从o点向右传播20cm到Q点,如图6-6所示,P点离开o点的距离为30cm,试判断P质点开始振动的方向。

 传到P点,所以画出如图6-7所示的波形图。因为波源在原点,波沿x轴正方向传播,所以可判定,P点开始振动的方向是沿y轴正方向(即向上)。

 主要原因是把机械波的图象当成机械振动的图象看面的波形也变化了。

 [正确解答] 因为原图中的波形经历了半个周期的波形如图6-8所示,在此波形基础上,向前延长半个波形即为P点开始振动时的波形图,因为波源在原点处,所以介质中的每个质点都被其左侧质点带动,所以P点在刚开始时的振动方向沿y轴负方向(即向下)从另外一个角度来看,原图中Q点开始振动时是向下的,因为所有质点开始振动时的情况均相同,所以P点开始振动的方向应是向下的。

 [小结] 本题中的错解混淆了振动图象与波的图象,那么这两个图象有什么不同呢?(1)首先两个图象的坐标轴所表示的物理意义不同:振动图象的横坐标表示时间,而波动图象的横坐标表示介质中各振动质点的平衡位置。(2)两个图象所描述的对象不同:振动图象描述的是一个质点的位移随时间的变化情况,而波的图象描述的是介质中的一群质点某一时刻各自振动所到达的位置情况。通俗地说:振动图象相当于是在一般时间内一个质点运动的“录像”,而波的图象则是某一时刻一群质点振动的“照片”。(3)随着时间的推移,振动图象原来的形状(即过去质点不同时刻所到达的位置不再发生变化,而波的图象由于各质点总在不断地振动,因此随着时间的推移,原有的图象将发生周期性变化。

 例7 图6-9是某时刻一列横波在空间传播的波形图线。已知波是沿x轴正方向传播,波速为4m/s,试计算并画出经过此时之后1.25s的空间波形图。

            

 =62.5个波长,其波形如图6-12。

 错解一、错解二没有重视单位的一致性,在此题中波长从图中只能得出λ=8cm,而波速给出的却是国际单位4m/s。因此,求周期时,应先将波长的单位统一到国际单位制上来。

 错解三虽然计算对了,但是,在波向前(沿x轴正方向)传播了62.5个波长时的波形,应是在原来的波形基础上向x正方扩展62.5个波长。

  播一个波长。经过62.5个周期,波向前传播了62.5个波长。据波的周期性,当经过振动周期的整数倍时,波只是向前传播了整数倍个波长,而形,如图6-13。再将此图向前扩展62个波长即为题目要求,波形如图6-14。

 [小结] 波形图反映了波在传播过程中某时刻在波的传播方向上各质点离开平衡位置的位移情况,由于波只能以有限的速度向前传播,所以离振源远的质点总要滞后一段时间,滞后的时间与传播的距离成正比,即滞后一个周期。两个质点之间的平衡位置距离就是一个波长,经过多少个周期,波就向前传播了多少个波长,而振源就做了多少次全振动,这就是此类问题的关键所在。

 例8 如图6-15所示,一列简谐横波沿x轴正方向传播,从波传到x=5m的M点时开始计时,已知P点相继出现两个波峰的时间间隔为0.4s,下面说法中正确的是 [ ]

 A.这列波的波长是4m

 B.这列波的传播速度是10m/s

 C.质点Q(x=9m)经过0.5s才第一次到达波峰

 D.M点以后各质点开始振动时的方向都是向下

 [错解分析] 错解一:由题中说P点相继出现两个波峰的时间间隔为

 错解二:质点Q(x=9m),经过0.4s(此处用了正确的周期结果 所以C对。

 错解三:M点以后各质点的振动有的向上,有的向下,所以D不对。

 错解一对“相继出现两个波峰”理解有误。

 错解二对质点Q(x=9m)处,当波传到它以后,该点应如何振动不会分析,实际上也就是对波的传播原理不明白。不知道波的传播是机械振动在介质中传递的过程,质点要依次被带动形成波。

 同理,错解三对M点以后各点运动情况分析有误,实际上M点以后各点运动情况向上还是向下取决于波的传播方向。

 [正确解答] (1)从图6-15上可以看出波长为4m,选A。

 (2)实际上“相继出现两个波峰”应理解为,出现第一波峰与出现第二个波峰之间的时间间隔。因为在一个周期内,质点完成一次全振动,而一次全振动应表现为“相继出现两个波峰”,即T=0.4s。则

 (3)质点Q(x=9m)经过0.4s开始振动,而波是沿x轴正方向传播,即介质中的每一个质点都被它左侧的质点所带动,从波向前传播的波形图6-16可以看出,0.4s波传到Q时,其左侧质点在它下方,所以Q点在0.5s时处于波谷。再经过0.2s即总共经过0.7s才第一次到达波峰,所以选项C错了。

 (4)从波的向前传播原理可以知道,M以后的每个质点都是先向下振动的。所以选项D是对的。

 此题正确答案为A,B,D。

 例9 如图6-17所示,一根张紧的水平弹性长绳上的a,b两点,相距14.0m,b点在a点的右方,当一列简谐横波沿此长绳向右传播时,若a点的位移达到正最大时,b点的位移恰为零且向下运动。经过1.00s后a点的位移为零,且向下运动,而b点的位移恰达到负最大,则这简谐波的波速可能等于 [ ]

 A.4.67m/s  B.6m/s

 C.10m/s   D.4m/s

            

 v=4.67m/s选择A。

 但此题可能多选,考虑到a,b之间满足条件的情况还可        

 解得:v=10m/s 选择C

    

 解得:v=11.5m/s显然不符合题目中的选项,且通过分析可知v=14m/s也是不对的,所以正确答案为A,C。

 以上答案并没有错,但分析问题的过程出现了明显的 漏了不少结论。而此题做为选择题,学生能用错误的思维方式得出符合答案的结果,纯属偶然。

        

 波长λ有一系列数据,周期T也有一系列数据,从波的概念出发,两者并无一一对应,因而波速应为

 其解为当n=0,N=0,1,2……

 n=1,N=0,1,2……

 n=2,N=0,1,2……

 我们可以通过列表来看一看波速的各种可能值:

 从表中可以看出,4.67m/s及10m/s即为正确答案。所以正确答案应选A,C。

试题详情


同步练习册答案