0  371466  371474  371480  371484  371490  371492  371496  371502  371504  371510  371516  371520  371522  371526  371532  371534  371540  371544  371546  371550  371552  371556  371558  371560  371561  371562  371564  371565  371566  371568  371570  371574  371576  371580  371582  371586  371592  371594  371600  371604  371606  371610  371616  371622  371624  371630  371634  371636  371642  371646  371652  371660  447090 

2.从高为5 m处以某一初速度竖直向下抛一小球,在与地面相碰后弹起,上升到高为2 m处被接住,则这段过程中                      ( )

A.小球的位移为3 m,方向竖直向下,路程为7 m

B.小球的位移为7 m,方向竖直向下,路程为7 m

C.小球的位移为3 m,方向竖直向下,路程为3 m

D.小球的位移为7 m,方向竖直向下,路程为3 m

解析:路程是标量,是物体运动轨迹的路线长度,s=5 m+2 m=7 m;位移是矢量,是由起点指向末点的有向线段,位移方向为起点指向末点,大小为有向线段长度Δx=3 m,方向竖直向下.A选项正确.

答案:A

试题详情

1.2008年的奥运圣火经珠穆朗玛峰传至北京,观察图1中的旗帜和甲、乙两火炬手所传递的圣火火焰,关于甲、乙两火炬手相对于静止旗杆的运动情况,下列说法正确的是(旗杆和甲、乙火炬手在同一地区)                 ( )

图1

A.甲、乙两火炬手一定向左运动

B.甲、乙两火炬手一定向右运动

C.甲火炬手可能运动,乙火炬手向右运动

D.甲火炬手可能静止,乙火炬手向左运动

解析:由静止旗杆上旗帜的展向可知,此地区风向向左,火炬甲的火焰向左,甲火炬手可能静止不动,也可能向右运动,还有可能向左运动,但向左运动的速度小于风速,火炬乙的火焰向右,则乙一定向左运动,且向左运动的速度大于风速,故只有D正确.

答案:D

试题详情

22、(本小题满分10分)

圆χ2+y2=8内有一点Po(-1,2),AB为过点Po且倾斜角为α的弦,

(1)当α=时,求AB的长。

(2)当弦AB被点Po平分时,写出直线AB的方程。

09-10学年度开原高中高二第三次月考考试

试题详情

21、(本小题满分12分)

已知函数f(χ)= χ(k∈Z)满足f(2)<f(3)

(1)求k的值并求出相应的f(χ)的解析式。

(2)对于(1)中得到的函数f(χ),试判断是否存在q,使得g(χ)=1-qf(χ)+(2q-1)χ   

在[-1,2]上值域为[-4,]?若存在,求出q;若不存在,请说明理由。

试题详情

20、(本小题满分12分)

已知函数f(χ)=χ3+(1-a)χ2-a(a+2)χ +b(a.b∈R)

(1)若函数f(χ)的图象过原点,且在原点处的切线斜率是-3,求a、b的值。

(2)若函数f(χ)在区间(-1,1)上不单调,求a的取值范围。

试题详情

19、(本小题满分12分)

设f(χ)=cos(2χ+)+sin2χ

求(1)求函数f(χ)的最大值和最小正周期

(2)设A, B, C为△ABC的三个内角,若cosB=, f()=- ,且C为锐角,求sinA。

试题详情

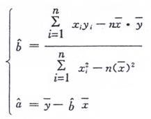
18、(本小题满分12分)

一台机器使用的时候较长,但还可以使用,它按不同的转速生产出来的某机械零件有一些会有缺点,每小时生产有缺点零件的多少,随机器的运转的速度而变化,下表为抽样试验的结果:

转速χ(转/秒)
16
14
12
8
每小时生产有缺点的零件数y(件)
11
9
8
5

(1)画出散点图,并通过散点图确定变量y对χ是否线性相关;

(2)如果y对χ有线性相关关系,求回归直线方程;

(3)若实际生产中,允许每小时的产品中有缺点的零件最多为10个,那么机器的运转速度应控制在什么范围内?(精确到0.0001)

参考公式:线性回归方程的系数公式:

试题详情

17、(本题满分12分)

已知复数z= 若z2+az+b=1-i

(1)求z;

(2)求实数a、b的值.

试题详情

16、Rt△ABC中,∠CAB=90度,AD⊥BC于D,AB:AC=3:2,则CD:BD=_____________

试题详情

15、曲线C: χ=cosθ    (θ为参数,且0≤θ≤π)的普通方程为       

y=-1+sinθ   

如果曲线C与直线χ+y+a=0有公共点,那么a的取值范围是        

试题详情


同步练习册答案