0  398951  398959  398965  398969  398975  398977  398981  398987  398989  398995  399001  399005  399007  399011  399017  399019  399025  399029  399031  399035  399037  399041  399043  399045  399046  399047  399049  399050  399051  399053  399055  399059  399061  399065  399067  399071  399077  399079  399085  399089  399091  399095  399101  399107  399109  399115  399119  399121  399127  399131  399137  399145  447090 

5.(08贵州贵阳)25.(本题满分12分)(本题暂无答案)

某宾馆客房部有60个房间供游客居住,当每个房间的定价为每天200元时,房间可以住满.当每个房间每天的定价每增加10元时,就会有一个房间空闲.对有游客入住的房间,宾馆需对每个房间每天支出20元的各种费用.

设每个房间每天的定价增加元.求:

(1)房间每天的入住量(间)关于(元)的函数关系式.(3分)

(2)该宾馆每天的房间收费(元)关于(元)的函数关系式.(3分)

(3)该宾馆客房部每天的利润(元)关于(元)的函数关系式;当每个房间的定价为每天多少元时,有最大值?最大值是多少?(6分)

试题详情

4.(08广东深圳)22.如图9,在平面直角坐标系中,二次函数的图象的顶点为D点,与y轴交于C点,与x轴交于A、B两点, A点在原点的左侧,B点的坐标为(3,0),OB=OC ,tan∠ACO=. (1)求这个二次函数的表达式.

(2)经过C、D两点的直线,与x轴交于点E,在该抛物线上是否存在这样的点F,使以点A、C、E、F为顶点的四边形为平行四边形?若存在,请求出点F的坐标;若不存在,请说明理由.

(3)若平行于x轴的直线与该抛物线交于M、N两点,且以MN为直径的圆与x轴相切,求该圆半径的长度.

(4)如图10,若点G(2,y)是该抛物线上一点,点P是直线AG下方的抛物线上一动点,当点P运动到什么位置时,△APG的面积最大?求出此时P点的坐标和△APG的最大面积.

(08广东深圳22题解析)22.(1)方法一:由已知得:C(0,-3),A(-1,0) …1分

将A、B、C三点的坐标代入得       ……………………2分

解得:                     ……………………3分

所以这个二次函数的表达式为:      ……………………3分

方法二:由已知得:C(0,-3),A(-1,0)      ………………………1分

设该表达式为:            ……………………2分

将C点的坐标代入得:               ……………………3分

所以这个二次函数的表达式为:      ……………………3分

(注:表达式的最终结果用三种形式中的任一种都不扣分)

(2)方法一:存在,F点的坐标为(2,-3)       ……………………4分

理由:易得D(1,-4),所以直线CD的解析式为:

∴E点的坐标为(-3,0)                ……………………4分

由A、C、E、F四点的坐标得:AE=CF=2,AE∥CF

∴以A、C、E、F为顶点的四边形为平行四边形

∴存在点F,坐标为(2,-3)              ……………………5分

方法二:易得D(1,-4),所以直线CD的解析式为:

∴E点的坐标为(-3,0)                ………………………4分

∵以A、C、E、F为顶点的四边形为平行四边形

∴F点的坐标为(2,-3)或(―2,―3)或(-4,3)  代入抛物线的表达式检验,只有(2,-3)符合∴存在点F,坐标为(2,-3)       ………………………5分

(3)如图,①当直线MN在x轴上方时,设圆的半径为R(R>0),则N(R+1,R),

代入抛物线的表达式,解得  …………6分

②当直线MN在x轴下方时,设圆的半径为r(r>0),

则N(r+1,-r),

代入抛物线的表达式,解得  ………7分

∴圆的半径为.  ……………7分

(4)过点P作y轴的平行线与AG交于点Q,

易得G(2,-3),直线AG为.……………8分

设P(x),则Q(x,-x-1),PQ

         ……………………9分

时,△APG的面积最大

此时P点的坐标为.    ……………………10分

试题详情

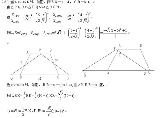
3.(08广东广州)25、(2008广州)(14分)如图11,在梯形ABCD中,AD∥BC,AB=AD=DC=2cm,BC=4cm,在等腰△PQR中,∠QPR=120°,底边QR=6cm,点B、C、Q、R在同一直线l上,且C、Q两点重合,如果等腰△PQR以1cm/秒的速度沿直线l箭头所示方向匀速运动,t秒时梯形ABCD与等腰△PQR重合部分的面积记为S平方厘米

(1)当t=4时,求S的值

(2)当,求S与t的函数关系式,并求出S的最大值

图11
 

(08广东广州25题解析)25.(1)t=4时,Q与B重合,P与D重合,

重合部分是

试题详情

2.(08甘肃白银等9市)28.(12分)如图20,在平面直角坐标系中,四边形OABC是矩形,点B的坐标为(4,3).平行于对角线AC的直线m从原点O出发,沿x轴正方向以每秒1个单位长度的速度运动,设直线m与矩形OABC的两边分别交于点M、N,直线m运动的时间为t(秒).

(1) 点A的坐标是__________,点C的坐标是__________;

 (2) 当t=    秒或    秒时,MN=AC;

(3) 设△OMN的面积为S,求S与t的函数关系式;

(4) 探求(3)中得到的函数S有没有最大值?若有,求出最大值;若没有,要说明理由.

(08甘肃白银等9市28题解析)28. 本小题满分12分

解:(1)(4,0),(0,3);  ·················································································· 2分

(2) 2,6;  ·········································································································  4分

(3) 当0<t≤4时,OM=t.

由△OMN∽△OAC,得

ON=,S=.  ····································  6分

当4<t<8时,

如图,∵ OD=t,∴ AD= t-4.

方法一:

由△DAM∽△AOC,可得AM=,∴ BM=6-. ····························  7分

由△BMN∽△BAC,可得BN==8-t,∴ CN=t-4. ··································  8分

S=矩形OABC的面积-Rt△OAM的面积- Rt△MBN的面积- Rt△NCO的面积

=12--(8-t)(6-)-

=.  ··························································································· 10分

方法二:

易知四边形ADNC是平行四边形,∴ CN=AD=t-4,BN=8-t.·································· 7分

由△BMN∽△BAC,可得BM==6-,∴ AM=.······ 8分

以下同方法一.

 (4) 有最大值.

方法一:

当0<t≤4时,

∵ 抛物线S=的开口向上,在对称轴t=0的右边, S随t的增大而增大,

∴ 当t=4时,S可取到最大值=6; ················ 11分

当4<t<8时,

∵ 抛物线S=的开口向下,它的顶点是(4,6),∴ S<6.

综上,当t=4时,S有最大值6. ·······································································  12分

方法二:

∵ S=

∴ 当0<t<8时,画出S与t的函数关系图像,如图所示. ······························  11分

显然,当t=4时,S有最大值6.  ···································································  12分

说明:只有当第(3)问解答正确时,第(4)问只回答“有最大值”无其它步骤,可给1分;否则,不给分.

试题详情

1.(08福建莆田)26.(14分)如图:抛物线经过A(-3,0)、B(0,4)、C(4,0)三点.

  (1) 求抛物线的解析式.

  (2)已知AD = AB(D在线段AC上),有一动点P从点A沿线段AC以每秒1个单位长度的速度移动;同时另一个动点Q以某一速度从点B沿线段BC移动,经过t 秒的移动,线段PQ被BD垂直平分,求t的值;

 (3)在(2)的情况下,抛物线的对称轴上是否存在一点M,使MQ+MC的值最小?若存在,请求出点M的坐标;若不存在,请说明理由。

(注:抛物线的对称轴为)

   

(08福建莆田26题解析)26(1)解法一:设抛物线的解析式为y = a (x +3 )(x - 4)

   因为B(0,4)在抛物线上,所以4 = a ( 0 + 3 ) ( 0 - 4 )解得a= -1/3

   所以抛物线解析式为

解法二:设抛物线的解析式为

依题意得:c=4且  解得

 所以  所求的抛物线的解析式为

(2)连接DQ,在Rt△AOB中,

所以AD=AB= 5,AC=AD+CD=3 + 4 = 7,CD = AC - AD = 7 – 5 = 2

因为BD垂直平分PQ,所以PD=QD,PQ⊥BD,所以∠PDB=∠QDB

因为AD=AB,所以∠ABD=∠ADB,∠ABD=∠QDB,所以DQ∥AB

所以∠CQD=∠CBA。∠CDQ=∠CAB,所以△CDQ∽ △CAB

  即

所以AP=AD – DP = AD – DQ=5 –=  

所以t的值是

(3)答对称轴上存在一点M,使MQ+MC的值最小

理由:因为抛物线的对称轴为

所以A(- 3,0),C(4,0)两点关于直线对称

连接AQ交直线于点M,则MQ+MC的值最小

过点Q作QE⊥x轴,于E,所以∠QED=∠BOA=900

   DQ∥AB,∠ BAO=∠QDE,  △DQE ∽△ABO

  即

所以QE=,DE=,所以OE = OD + DE=2+=,所以Q()

设直线AQ的解析式为

  由此得

所以直线AQ的解析式为  联立

由此得  所以M

则:在对称轴上存在点M,使MQ+MC的值最小

试题详情

8. 碳、氢、氧3种元素组成的有机物A,相对分子质量为102,含氢的质量分数为9.8%,分子氢原子个数为氧的5倍。

(1)A的分子式是          

(2)A有2个不同的含氧官能团,其名称是          

(3)一定条件下,A与氢气反应生成B,B分子的结构可视为1个碳原子上连接2个甲基和另外2个结构相同的基团。

   ①A的结构简式是               

    ②A不能发生的反应是(填写序号字母)     

    a.取代反应      b.消去反应      c.酯化反应       d.还原反应

(4)写出两个与A具有相同官能团、并带有支链的同分异构体的结构简式:

                               

(5)A还有另一类酯类同分异构体,该异构体在酸性条件下水解,生成两种相对分子质量相同的化合物,其中一种的分子中有2个甲基,此反应的化学方程式是:

                                         

试题详情

7.  2005年的诺贝尔化学奖颁给了3位在烯烃复分解反应研究方面做出突出贡献的化学家。烯烃复分解反应实际上是在金属烯烃络合物的催化下实现C=C双键两边基团换位的反应。如下图表示了两个丙烯分子进行烯烃换位,生成两个新的烯烃分子--丁烯和乙烯。

现以石油裂解得到的丙烯为原料,经过下列反应可以分别合成重要的化工原料I和G。I和G在不同条件下反应可生成多种化工产品,如环酯J。其中G的分子式为C4H4O4

提示:有机物分子结构中的       比-OH更容易被氧化。

请按要求填空:

⑴写出下列反应的反应类型:⑥_________,⑧___________。

⑵写出结构简式:B_________________。

⑶写出下列反应的化学方程式:

③____________________________________________________________________;

⑩____________________________________________________________________。

⑷依据题意,写出④、⑤两步转化中所需无机物的化学式:④_______,⑤__________。

⑸写出符合下列条件的J的同分异构体:4个碳原子在同一直线上、二元酸酯。

_________________________________________________________。

试题详情

6.  2008北京奥运会吉祥物福娃,已被做成各种玩具。有一种玩具的内充物为无

毒的聚酯纤维P,其合成线路如下,其中A、B、C、D、E均为有机物。

(1)A的结构简式是        ,C的结构简式是      

(2)反应②的化学方程式是                  

反应④的化学方程式是                    

(3)等物质的量的B与E在热的浓硫酸存在的条件下反应,生成1mol有机物x及1mol水,则有机物x的结构简式是         

(4)指出下列有机反应类型:

反应②属于     反应;反应③属于     反应;反应④属于     反应。

(5)B的同分异构体有多种,其中某种同分异构体y的分子内含有苯环,且y既能与NaHCO3溶液反应放出CO2气体,又能发生银镜反应,还能发生水解反应。则y的结构简式是              (只写一种)。            

试题详情

5. 已知:

 

某一元氯代烃A分之式为C6H11Cl,可以发生如下图所示的转化:

 

结构分析表明F分之中含有两个甲基,请回答下列问题:

(1)G的分子式为______________________

(2)写出A、E的结构简式:A________________,E_____________________。

(3)D    F的反应方程式是___________________________

(4)分之式和E相同,主链含有3个碳原子的二元羧酸的同分异构有___________种。

试题详情

4.  已知反应:

   现有物质B-I的转化关系如下图:

 

若B的分子式为C8H8O,其苯环上的一元取代物只有两种;G为高分子化合物。请回答下列问题:

(1)反应②的反应类型是        

(2)写出有关物质的结构简式:F         ,I        

(3)写出下列反应的化学方程式:

B→C                                   

C+D→H                                  

(4)C的同素分异构体且属于酯类的芳香族化合物共有6种,以下已有三种,请写出另三种同分异构体的结构简式:

             

试题详情


同步练习册答案