0  407581  407589  407595  407599  407605  407607  407611  407617  407619  407625  407631  407635  407637  407641  407647  407649  407655  407659  407661  407665  407667  407671  407673  407675  407676  407677  407679  407680  407681  407683  407685  407689  407691  407695  407697  407701  407707  407709  407715  407719  407721  407725  407731  407737  407739  407745  407749  407751  407757  407761  407767  407775  447090 

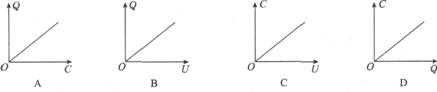
3.对于一给定的电容器,在如下图所示中,描述电容C、带电荷量Q、电压U之间的相互关系的图线中正确的是(   )

答案:B

试题详情

2.对于水平放置的平行板电容器,下列说法正确的是(   )

A.将两极板的间距加大,电容将增大

B.将两极板平行错开,使正对面积减小,电容将减小

C.在下板的内表面上放置一面积和极板相等、厚度小于极板间距的陶瓷板,电容将增大

D.在下板的内表面上放置一面积和极板相等、厚度小于极板间距的铝板,电容将增大

答案:BCD

试题详情

1.下列关于电容器的说法中,正确的是(   )

A.电容越大的电容器,带电荷量也一定越多

B.电容器不带电时,其电容为零

C.两个电容器的带电荷量相等时,两板间电势差较大的电容器的电容较大

D.电容器的电容与电容器是否带电无关

答案:D

试题详情

9.B如图所示A、B、C、D是匀强电场中一正方形的四个顶点已知A、B、C三点的电势分别为φA=15V,φB=3V,φC=-3V.由此可知D点的电势φD=______V

答案:9

第4节  电容器的电容

试题详情

8.B如图所示,a、b是匀强电场中的两点已知两点间的距离为0.4m,两点的连线与电场线成37°角,两点间的电势差Uab=2.4×103V,则匀强电场的场强大小为E=______V/m,把电子从a点移到b点电场力做功W=______J,电子的电势能将______(填“增大”、“减少”或“不变”)

答案:7.5×103;-3.84×10-16;增加

试题详情

7.如图甲是某电场中的一条电场线,A、B是这条电场线上的两点,若将一负电荷从A点自由释放,负电荷沿电场线从A到B运动过程中的速度图象如图乙所示比较A、B两点电势的高低和场强大小可知(    )

A.φAB     B.φAB     C.EA>EB           D.EA<EB

答案:BC

试题详情

6.如图为某一电场的电场线和等势面分布,其中图中实线表示电场线,虚线表示等势面过a、b两点的等势面电势分别为φa=5V,φC=3V那么a、c连线的中点B的电势φb为(    )

A.φb=4V   B.φb>4V

C.φb<4v   D.上述情况都有可能

答案:C

试题详情

5.B如图所示,匀强电场场强为E,A与B两点间的距离为d,AB与电场线夹角为а,则A与B两点间的电势差为(   )

A.Ed    B.Edcosа     C.Edsinа   D.Edtanа

答案:B

试题详情

4.关于场强的三个公式:①;②;③的适用范围,下列说法中正确的是(

A.三个公式都只能在真空中适用

B.公式②只能在真空中适用,公式①和③在真空中和介质中都适用

C.公式②和⑧只能在真空中适用,公式①在真空中和介质中都适用

D.公式①适用于任何电场,公式②只适用于点电荷的电场,公式③只适用于匀强电场

答案:BD

试题详情

3.下列关于匀强电场的说法中,正确的是(    )

A.匀强电场中,场强处处相等,电势也处处相等

B.匀强电场中,各点的场强都相等,各点的电势都不相等

C.匀强电场中的等势面是一簇与电场线垂直的平面

D.在匀强电场中画一条与电场线不垂直的直线,直线上任意两点间的电势差与两点间的距离成正比

答案:CD

试题详情


同步练习册答案