0  410953  410961  410967  410971  410977  410979  410983  410989  410991  410997  411003  411007  411009  411013  411019  411021  411027  411031  411033  411037  411039  411043  411045  411047  411048  411049  411051  411052  411053  411055  411057  411061  411063  411067  411069  411073  411079  411081  411087  411091  411093  411097  411103  411109  411111  411117  411121  411123  411129  411133  411139  411147  447090 

23.(本题满分18分)本题共有3个小题,第1小题满分5分,第2小题满分5分,第3小题满分8分.

 已知是公差为d的等差数列,是公比为q的等比数列

(1)若 ,是否存在,有?请说明理由;

(2)若(a、q为常数,且aq0)对任意m存在k,有,试求a、q满足的充要条件;

(3)若试确定所有的p,使数列中存在某个连续p项的和式数列中的一项,请证明.        

试题详情

22.[解](1)设双曲线的方程为

  ,解额双曲线的方程为

(2)直线,直线

由题意,得,解得

(3)[证法一]设过原点且平行于的直线

则直线的距离时,

又双曲线的渐近线为        

  双曲线的右支在直线的右下方,

  双曲线右支上的任意点到直线的距离大于

故在双曲线的右支上不存在点,使之到直线的距离为

[证法二]假设双曲线右支上存在点到直线的距离为

由(1)得

时,

代入(2)得

,       

  方程不存在正根,即假设不成立,

故在双曲线的右支上不存在点,使之到直线的距离为

试题详情

22.(本题满分16分)本题共有3个小题,第1小题满分4分,第2小题满分4分,第3小题满分8分.

已知双曲线C的中心是原点,右焦点为F,一条渐近线m:,设过点A的直线l的方向向量

(1) 求双曲线C的方程;  

(2) 若过原点的直线,且a与l的距离为,求K的值;

(3) 证明:当时,在双曲线C的右支上不存在点Q,使之到直线l的距离为.

试题详情

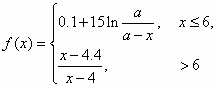
21.(本题满分16分)本题共有2个小题,第1小题满分6分,第2小题满分10分 .有时可用函数

     

描述学习某学科知识的掌握程度.其中表示某学科知识的学习次数(),表示对该学科知识的掌握程度,正实数a与学科知识有关.

(1)证明:当x 7时,掌握程度的增长量f(x+1)- f(x)总是下降;  

(2)根据经验,学科甲、乙、丙对应的a的取值区间分别为(115,121],(121,127],

(127,133].当学习某学科知识6次时,掌握程度是85%,请确定相应的学科.

21题。证明(1)当时,

而当时,函数单调递增,且

故函数单调递减       

时,掌握程度的增长量总是下降

(2)有题意可知

整理得

解得…….13分

由此可知,该学科是乙学科……………..14分

试题详情

20.(本题满分14分)本题共有2个小题,第1小题满分6分,第2小题满分8分 .

   已知ΔABC的角A、B、C所对的边分别是a、b、c,设向量

  .

(1) 若//,求证:ΔABC为等腰三角形;  

(2) 若,边长c = 2,角C = ,求ΔABC的面积 .

20题。证明:(1)

,其中R是三角形ABC外接圆半径,

为等腰三角形

解(2)由题意可知

由余弦定理可知,        

试题详情

19.解:原方程的根为 

       

试题详情

19.(本题满分14分)

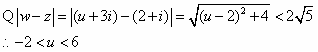
  已知复数(a、b)(I是虚数单位)是方程的根 . 复数()满足,求 u 的取值范围 .   

试题详情

18、[答案]D

[解析]根据信息可知,连续10天内,每天的新增疑似病例不能有超过7的数,选项A中,中位数为4,可能存在大于7的数;同理,在选项C中也有可能;选项B中的总体方差大于0,叙述不明确,如果数目太大,也有可能存在大于7的数;选项D中,根据方差公式,如果有大于7的数存在,那么方差不会为3,故答案选D.

试题详情

18.在发生某公共卫生事件期间,有专业机构认为该事件在一段时间内没有发生大规模群体感染的标志为“连续10天,每天新增疑似病例不超过7人”. 根据过去10天甲、乙、丙、丁四地新增疑似病例数据,一定符合该标志的是      [答](  )

  (A)甲地:总体均值为3,中位数为4 . (B)乙地:总体均值为1,总体方差大于0 .

   (C)丙地:中位数为2,众数为3 .   (D)丁地:总体均值为2,总体方差为3 .

试题详情

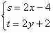
17、[答案]A

[解析]设圆上任一点为Q(s,t),PQ的中点为A(x,y),则,解得:,代入圆方程,得(2x-4)2+(2y+2)2=4,整理,得:

试题详情


同步练习册答案