题目列表(包括答案和解析)

 0  212019  212027  212033  212037  212043  212045  212049  212055  212057  212063  212069  212073  212075  212079  212085  212087  212093  212097  212099  212103  212105  212109  212111  212113  212114  212115  212117  212118  212119  212121  212123  212127  212129  212133  212135  212139  212145  212147  212153  212157  212159  212163  212169  212175  212177  212183  212187  212189  212195  212199  212205  212213  447348 

2.(2009·宁波高三质检)下列有关生态系统能量流动的叙述中,正确的是     ( )

A.一种蜣螂专以大象粪为食,则该种蜣螂最多能获取大象所同化能量的20%

B.当狼捕食兔子并同化为自身的有机物时,能量就从第一营养级流入第二营养级

C.生产者通过光合作用合成有机物,能量就从非生物环境流入生物群落

D.生态系统的能量是伴随物质而循环利用的

[解析] 考查生态系统的功能--能量流动,蜣螂在生态系统中是分解者;能量流动的传递效率指的是在食物链中相邻两个营养级的传递效率;兔子是食草性的动物,它不能构成第一营养级;能量在生态系统中是单向流动、逐级递减。

[答案] C

试题详情

1.(2009·东城模拟)下列有关生态系统功能的叙述中,正确的是            ( )

A.食物链中的营养级可以是无限的

B.任一生态系统的能量流动和物质循环均可长期保持动态平衡

C.生态系统的能量流动从生产者沿食物链(网)最终流至分解者

D.生态系统中的能量流动具有单向性,一般既不能逆向也不能循环流动

[解析] 本题考查生态系统的相关知识。生态系统的基本功能是能量流动和物质循环,能量流动具有单向传递、逐级递减的特点,而物质是循环利用的。因此本题答案是D。

[答案] D

试题详情

14.(30分)生态系统的成分包括非生物的物质和能量、生产者、消费者和分解者四部分,其中非生物的物质和能量、生产者和分解者在一个生态系统中占有非常重要的地位。为了验证其重要性和不可缺少性,设计如下实验。实验过程如下图所示。在同样形状同样体积的锥形瓶中加等量的水(1、2号加清水,3、4号加少许河泥)、同样的金鱼、等量的金鱼藻(2-4号),用橡胶塞塞紧。1-3号放在阳光下,4号放放黑暗的纸箱中。(均放于室温20℃条件下)

(1)1号瓶中的金鱼与4号瓶中的金鱼相比________瓶中的金鱼生活时间长,因为______________________。

(2)上述1-4瓶中________瓶中金鱼生存时间最长。因为________________________________________________________________________

________________________________________________________________________。

(3)1、2、3号锥形瓶相比较,相同的非生物因素有________;3、4号锥形瓶相比较,生态系统的成分中不同的是________。

(4)4号锥形瓶中的鱼存活时间最短,说明________是生态系统最根本的能量来源;3号锥形瓶的鱼最后也死亡,其主要原因是____________________________________________。

(5)2号与3号对照,能否说明分解者是生态系统的必备成分?若不能,如何设置实验才能证明?__________________________________________________________________。

(6)本实验所得结论是______________________________________________________。

[解析] 非生物的物质和能量是生态系统存在的基础,生产者是生态系统中唯一把非生物的物质和能量转变成生物群落的成分,是生态系统的主要成分;分解者是生态系统必不可缺少的成分,没有它,动植物的尸体就会堆积如山,生态系统就会崩溃。解题时要注意对比分析。

[答案] (1)1号 4号瓶中有金鱼藻,但置于黑暗处,金鱼藻不能进行光合作用,且金鱼藻的细胞呼吸也能消耗水中溶解的O2,故金鱼生存时间更短

(2)3号 3号瓶置于日光下,有稳定的能量来源,金鱼藻和金鱼的细胞呼吸共同消耗水中的溶解氧,产生CO2,金鱼藻的光合作用向水中提供溶解氧,清水、河泥又为植物提供水和无机盐,河泥中的分解者将金鱼粪便分解为无机物供金鱼藻利用,这种状况能维持较长一段时间,故金鱼生存的时间较长

(3)水温和光照 4号无光照

(4)光能 瓶内生物种类少,营养结构简单,无法长期保持稳定

(5)不能。应再设置一组5号瓶与3号对照,除加入进行烘烤过的杀死其中微生物的河泥外,其他成分和条件与3号相同,观察并记录结果

(6)非生物的物质和能量(水、空气、矿物质和阳光等)、生产者(金鱼藻)、消费者(金鱼)和分解者(腐生微生物)四者共同构成一个生态系统,缺一不可

试题详情

13.(22分)(2009·大连模拟)如图是一个陆地生态系统的食物网的结构模式图。请据图回答下列问题:

(1)该食物网中有________条食物链。

(2)该食物网中的生产者不止一个,有________。

(3)辛从食物链________中获得的能量最少。在该食物链中,如果总能量为G,传递效率为10%,辛所获得的能量只有________。

(4)该食物网中,既存在捕食关系又存在竞争关系的生物是________。

(5)在该食物网中,辛占有________个不同的营养级。

(6)在该食物网中,如果丙种群的数量因故下降10%,辛种群的数量是否会发生明显变化?________。

(7)若向此生态系统中引入一外来物种,短时间内该种群的增长曲线是________。

[答案] (1)8

(2)甲、戊

(3)甲→丙→乙→丁→辛 G/10000

(4)乙与丙、乙与丁、丁与辛

(5)3 (6)否 (7)“J”型曲线

试题详情

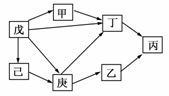
12.(2009·嘉兴高三统考)如图是某生态系统的食物网示意图,甲-庚代表不同的生物,箭头表示能量流动的方向和食物联系,下列叙述正确的是                      ( )

A.此食物网中有五条食物链,丁占有3个不同的营养级

B.该生态系统中,个体数量最多的一定是戊

C.庚与己既有捕食关系,又有竞争关系

D.向此生态系统大量引入外来物种,可增强该系统的稳定性

[解析] 本题考查生态因素、生态系统的营养结构及稳定性,本题较难。该生态系统中戊为生产者,丙是最高级消费者,共有6条食物链:戊→甲→丁→丙、戊→丁→丙、戊→庚→丁→丙、戊→庚→乙→丙、戊→己→庚→丁→丙、戊→己→庚→乙→丙,其中丁分别占据第二、第三、第四营养级。在生态系统中,能量最多的是生产者,但其数量不一定是最多的,如森林生态系统中的乔木(松树)与松毛虫的数量。一般来说,生态系统的物种越丰富,其自动调节能力越大,抵抗力稳定性越大,但引入外来物种,可能破坏当地生物多样性。本题易错有二:一是食物链数不准,二是误认为生物数量与能量全部具有对应关系。

[答案] C

试题详情

11.(2009·济南统考)下图表示某生态系统的食物网图。下列有关叙述中正确的是( )

A.生态系统中,食物链交错连接成食物网的原因是多种生物在不同的食物链中占有不同的营养级

B.该图中只体现生态系统的两种成分,未体现的成分是非生物环境、分解者

C.从理论上分析,维持一个生态系统存在的不可缺少的生物成分只有生产者--绿色植物

D.该食物网由6条食物链组成,鹰为最高营养级

[解析] 该题考查了生态系统的相关知识。C项中,维持一个生态系统存在的不可缺少的生物成分是生产者和分解者。

[答案] C

试题详情

10.(2009·南昌高三模拟)下列有关生态系统的叙述错误的是                  ( )

A.沼泽地、红树林、泥炭地都属于湿地,能调节水流量和防止洪水

B.森林中的生物群落具有明显的垂直结构,其抵抗力稳定性强于农田生态系统

C.草原上的动物大多能挖洞或快速奔跑,植被面貌主要取决于光照强度

D.人类活动对城市生态系统的发展起支配作用,但分解者的功能较弱

[解析] 本题考查各种不同生态系统的结构特点,为容易题。草原生态系统的主要限制因素为水,而不是光照强度。

[答案] C

试题详情

9.如图所示某生态系统的营养结构,其中竞争最为激烈的是                                          ( )

A.狼和兔

B.狼和红狐

C.兔和鼠

D.昆虫和青草

[解析] 在生态系统中,处于同一营养级的生物因为共用相同的资源而竞争激烈,因而排除了A和D,再考虑到B中狼和红狐有各自的食物来源,因此竞争程度小于兔和鼠的竞争。

[答案] C

试题详情

8.据右图所示叙述,正确的是                   ( )

A.图示的各种成分在生态学上可以构成一个生态系统

B.图示的各种成分在生态学上可以构成一个生物群落

C.细菌属于消费者

D.蛇属于三级消费者

[解析] 本题考查生态系统的概念。题图所示为一个生态系统,由生物成分和非生物成分构成,生物成分包括生产者(绿色植物)、分解者(细菌)和消费者(动物)组成。生产者和消费者之间存在着直接或间接关系,蛇属于四级消费者。

[答案] A

试题详情

7.在生态系统中,对下列生物的分析正确的是                        ( )

A.硝化细菌:自养生物、生产者

B.圆褐固氮菌;厌氧生物、分解者

C.乳酸菌:需氧生物、分解者

D.酵母菌:异养生物、消费者

[解析] 圆褐固氮菌为需氧型,分解者;乳酸菌为厌氧型,分解者;酵母菌为兼性厌氧型,分解者,故B、C、D错误。

[答案] A

试题详情


同步练习册答案