题目列表(包括答案和解析)

 0  31459  31467  31473  31477  31483  31485  31489  31495  31497  31503  31509  31513  31515  31519  31525  31527  31533  31537  31539  31543  31545  31549  31551  31553  31554  31555  31557  31558  31559  31561  31563  31567  31569  31573  31575  31579  31585  31587  31593  31597  31599  31603  31609  31615  31617  31623  31627  31629  31635  31639  31645  31653  447348 

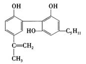
17.已知C-C键可以绕键轴自由旋转,结构简式为             的烃,              

下列说法正确的是      

A.该烃是苯的同系物        B.分子中至少有9个碳原子处于同一平面上

 C.分子中至少有8个碳原子处于同一平面上   D.该烃的一氯取代物最多有四种

18“奥运会”严格禁止运动员服用兴奋剂。关于某种兴奋剂的以下说法中,正确的是

A.该物质的分子式为C20H25O3

B.该物质能与碳酸钠溶液反应放出CO2气体

C.1 mol该物质最多能与7molH2发生加成反应

D.1 mol该物质最多能与含4 molBr2溴水发生加成反应

试题详情

16.新兴的大脑营养学研究发现,大脑生长发育与不饱和脂肪酸有密切关系。从深海鱼油中提取的被称为“脑黄金”的DHA就是一种不饱和程度很高的脂肪酸,它的分子组成中有6个碳碳双键、学名二十六碳六烯酸。它的分子组成应是

A.C25H50COOH  B.C25H39COOH   C.C26H41COOH  D.C26H47COOH

试题详情

15.某苯的同系物的分子式为C11H16,经分析分子式中除含苯环外(不含其它环状结构),还含有两个“-CH3”,两个“-CH2-”、一个“-CH-”它的可能结构式有

A.6种       B.5种       C.4种       D.3种

试题详情

14.莽草酸是治疗甲型H1N1流感药物“达菲”的中间活性物质,其结构简式如下。有下列反应:①与Na反应放出气体  ②使溴水褪色  ③遇FeCl3溶液显紫色 

④与新制Cu(OH)2反应。莽草酸能发生以上反应中的

A.①③   B.①②③   C.①②④  D.①③④

试题详情

13.下列说法正确是

A.聚乙烯可发生加成反应       

B.乙烯和苯都能使溴水褪色,褪色的原因相同

C.由于甲基对苯环的影响,使甲苯能使酸性高锰酸钾溶液褪色

D.乙醇溶液呈中性,而苯酚溶液呈弱酸性,原因是苯环影响羟基,

使羟基上的氢原子变得活泼了

试题详情

12.下列变化属于消去反应的是

A.苯与溴水混合,水层褪色      B.乙烯使溴的四氯化碳溶液褪色

C.甲苯制三硝基甲苯         D.2-丙醇制丙烯

试题详情

11.在卤代烃R-CH2-CH2-X中化学键如下所示,则下列说法正确的是

A、发生消去反应时,被破坏的键是①和③

B、发生水解反应时,被破坏的键是②和③

C、发生消去反应时,被破坏的键是①

D、发生水解反应时,被破坏的键是①和②

试题详情

10.下列物质中一定互为同系物的是

①CH4 ②C3H6 ③C8H18④CH2=CH-CH2CH3  ⑤       ⑥

A、①②     B、②④      C、⑤⑥   D、①③

试题详情

9.下列各化合物的命名中不正确的是

A.CH2=CH-CH=CH2  1,3-丁二烯    B.

C.        邻甲基苯酚    D.           2-甲基丁烷

试题详情

8.下列化合物分子中,在核磁共振氢谱图中能给出三种信号的是

A.CH3CH2CH3  B.           C.CH3CH2 CH2OH   D.CH3OCH3

试题详情


同步练习册答案