题目列表(包括答案和解析)

 0  72593  72601  72607  72611  72617  72619  72623  72629  72631  72637  72643  72647  72649  72653  72659  72661  72667  72671  72673  72677  72679  72683  72685  72687  72688  72689  72691  72692  72693  72695  72697  72701  72703  72707  72709  72713  72719  72721  72727  72731  72733  72737  72743  72749  72751  72757  72761  72763  72769  72773  72779  72787  447348 

4.如图,E是平行四边形ABCDCD的中点,连结AEBD,交于点O.如果已知△ADE的面积是6,试写出能求出的图形面积                         (要求写出四个以上图形的面积).

试题详情

3.相距1000km的两市在比例尺为1:30000000的地图上的距离约是      

cm (精确到0.1);某市规划筹建一个开发区,这个开发区在1:50000的地图上面积是30cm2,实际占地面积约为        km2

试题详情

2.两个相似三角形的一组对应边长分别为15和27,它们的周长之差为36,则较小三角形的周长是      .

试题详情

1.如图,DE是三角形ABC中边ABAC上的点,DEBC,已知AB=8cmAC=12cmBD=3cm,则AE=     EC=     .

试题详情

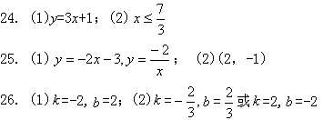
23. 在

      

图形的相似(A卷)

试题详情

15. B  16. B  17. B  18. C  19. A  20. D  21. D  22. C

试题详情

13. 1

试题详情

11. >

试题详情

10. -1

试题详情

4. 不在

试题详情


同步练习册答案