题目列表(包括答案和解析)

 0  78434  78442  78448  78452  78458  78460  78464  78470  78472  78478  78484  78488  78490  78494  78500  78502  78508  78512  78514  78518  78520  78524  78526  78528  78529  78530  78532  78533  78534  78536  78538  78542  78544  78548  78550  78554  78560  78562  78568  78572  78574  78578  78584  78590  78592  78598  78602  78604  78610  78614  78620  78628  447348 

21.已知:如图是两个重叠的直角三角形,将其中的一个直角三角形沿着BC方向平移BE的长得到此图形,求四边形DHCF的面积。其中AB=8,BE=5,DH=3.(32.5)

试题详情

20.在方格纸中平移△ABC,使点A移动到点M,点B和点C应移到什么位置?再将点A由点M移到点N,分别画出两次平移后的三角形.如果直接平移△ABC,使点A移到点N,你发现了什么规律?

试题详情

19.如图所示的方格纸中,正方形ABCD要向右平移2格,然后向下平移2格,得到正方形ABCD′,则正方形ABCDABCD′重叠部分面积为    4    .(每小方格的边长为1)

试题详情

18.如图所示的△ABC和△DEF都是等腰三角形,其中一个等腰三角形经过平移后成为另一个等腰三角形,AH是等腰△ABC底边BC上的高,在平移过程中没有表现出来,试画出△DEF中与AH的对应线段,并指出线段ABBHCH的对应线段,∠B,∠AHC,∠BAH的对应角.

试题详情

17.动脑动手设计平移图案,在方格纸上画出你所设计的图案,并配以标题及一段文字说明你的设计意图.

试题详情

16.我们知道,对一个图形进行平移,可按不同方向移动不同距离.现有一个边长为a的正方形,怎样平移,连续4次后可得正方形个数能超过15个?请画出草图,并说明平移的方向和距离.

答案:例如:

试题详情

15.如图是一个五角星,将此五角星沿着北偏东30°的方向平移2 cm,画出平移后的五角星.

 

试题详情

14.一块长方形草地的大小尺寸如图所示,要在上面沿东西和南北方向分别铺2条和4条甬道,若甬道的宽均为1米,求草地的总面积.(224平方米)

试题详情

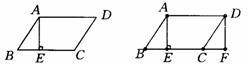
13.如图,在平行四边形ABCD中,AE垂直于BC,垂足为E.试画出将△ABE平移后的图形,其平移方向为射线AD的方向,平移的距离为线段AD的长.

试题详情

12.线段CD是线段AB平移后的图形,DB的对应点,作出线段AB.

       

试题详情


同步练习册答案