0  127870  127878  127884  127888  127894  127896  127900  127906  127908  127914  127920  127924  127926  127930  127936  127938  127944  127948  127950  127954  127956  127960  127962  127964  127965  127966  127968  127969  127970  127972  127974  127978  127980  127984  127986  127990  127996  127998  128004  128008  128010  128014  128020  128026  128028  128034  128038  128040  128046  128050  128056  128064  447090 

24..

试题详情

23.;      

试题详情

22.;

试题详情

21.(x-1)+x;            

试题详情

20.

试题详情

19.-2+1.5-0.2;           

试题详情

18.从数轴上看,小于的最大整数是_________.

试题详情

17.对正有理数ab定义运算★如下:ab=,则3★4=     

试题详情

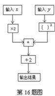
16.如图是一个数值转换机的示意图,若输入值为3,值为时,则输出的结果为     

 

试题详情

15.若_________.

试题详情


同步练习册答案