0  248606  248614  248620  248624  248630  248632  248636  248642  248644  248650  248656  248660  248662  248666  248672  248674  248680  248684  248686  248690  248692  248696  248698  248700  248701  248702  248704  248705  248706  248708  248710  248714  248716  248720  248722  248726  248732  248734  248740  248744  248746  248750  248756  248762  248764  248770  248774  248776  248782  248786  248792  248800  447090 

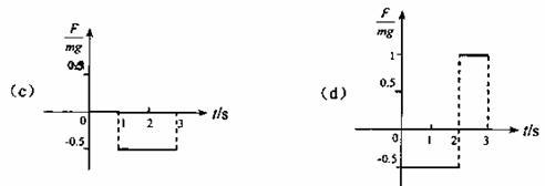
21.如图所示,在倾角为30°的足够长的光滑斜面上有一质量为的物体,它受到沿斜面方向的力F的作用。力F可按图(a)、(b)、(c)、(d)所示的四种方式随时间变化(图中纵坐标是Fmg的比值,为沿斜面向上为正)

  已知此物体在t=0时速度为零,若用分别表示上述四种受力情况下物体在3秒末的速率,则这四个速率中最大的是

A.            B.          C.         D.

第II卷(非选择题)

试题详情

20.某人造卫星运动的轨道可近似看作是以地心为中心的圆.由于阻力作用,人造卫星到地心的距离从r1慢慢变到r2,用ElE2分别表示卫星在这两个轨道上的机械能,则

A . r1<r2E1<E2   B. r1>r2E1<E2   C. r1<r2E1> E2   D . r1>r2E1>E2

试题详情

19.滑块以速率v1靠惯性沿固定斜面由底端向上运动,当它回到出发点时速率为v2,且v2< v1,若滑块向上运动的位移中点为A取斜面底端重力势能为零,则(   )

    A.上升时机械能减小,下降时机械能增大。

  B.上升时动能减小,下降时动能也减小。

    C.上升过程中动能和势能相等的位置在A点上方。

  D.上升过程中动能和势能相等的位置在A点下方。

试题详情

18.质量不计的直角形支架两端分别连接质量为m和2m的小球AB。支架的两直角边长度分别为2ll,支架可绕固定轴O在竖直平面内无摩擦转动,如图所示。开始时OA边处于水平位置,由静止释放,则(   )

A. A球的速度最大时,角BOA的角平分线在竖直方向

B. A球的速度最大时,两小球的重力势能之和最小

C. A 球的速度最大时,A球在其运动圆周的最低点

D. A球的速度最大时,B球在其运动圆周的最低点

试题详情

17.如图所示,在研究平抛运动时,小球A沿轨道滑下,离开轨道末端(末端水平)时撞开轻质接触式开关S,被电磁铁吸住的小球B同时自由下落。改变整个装置的高度做同样的实验,发现位于同一高度H的AB两球总是同时落地或者在空中相碰。该实验现象说明了A球在离开轨道后(   )

A.水平方向的分运动是匀速直线运动   B.水平方向的分运动是匀加速直线运动

C.竖直方向的分运动是自由落体运动   D.竖直方向的分运动是匀速直线运动

试题详情

16.在地球(看作质量均匀分布的球体)上空有许多同步卫星,下面说法中正确的是

A.它们的质量可能不同      B.它们的速度可能不同

C.它们的向心加速度可能不同   D.它们离地心的距离可能不同

试题详情

15.在滑冰场上,甲、乙两小孩分别坐在滑冰板上,原来静止不动,在相互猛推一下后分别向相反方向运动。假定两板与冰面间的摩擦因数相同。已知甲的质量小于乙的质量,则(   )

A.在推的过程中,甲推乙的力小于乙推甲的力 

B.在推的过程中,甲推乙的时间小于乙推甲的时间

C.在分开后,甲在冰上滑行的距离比乙远

D.在分开后,甲的加速度的大小小于乙的加速度的大小

试题详情

14.质点在一平面内沿曲线由P运动到Q,如果vaF分别表示质点运动过程中的速度、加速度和受到的合外力,下列图象可能正确的是(   )

试题详情

13、某种混合气体可能含有N2、HCl和CO,把混合气体依次通过足量的NaHCO3溶液和灼热的CuO,气体体积都没有变化。经干燥后再通过足量的Na2O2固体,气体体积减少。最后通过灼热的铜网,经充分反应后气体体积又减少,但还有剩余气体。以下对混合气体的判断正确的是(  )                        

  A.一定没有N2,HCl和CO至少有一种  B.一定没有N2,HCl和CO都有   

  C.一定有N2,HCl和CO至少有一种   D.一定有N2和HCl,肯定没有CO

试题详情

12.元素X的某价态离子所形成晶体的结构单元如图所示。则的值为 (  )

  A.1      B.2       C.3      D.4

试题详情


同步练习册答案