0  248764  248772  248778  248782  248788  248790  248794  248800  248802  248808  248814  248818  248820  248824  248830  248832  248838  248842  248844  248848  248850  248854  248856  248858  248859  248860  248862  248863  248864  248866  248868  248872  248874  248878  248880  248884  248890  248892  248898  248902  248904  248908  248914  248920  248922  248928  248932  248934  248940  248944  248950  248958  447090 

14.若,则的值为     .      

试题详情

13.若f(x)=2sinωx(0<ω<1在区间[0,]上的最大值是,则ω    .

试题详情

12. 为得到函数的图像,只需将函数的图像  (  )

A.向左平移个长度单位       B.向右平移个长度单位

C.向左平移个长度单位        D.向右平移个长度单位

二填空题(16分)

试题详情

11.四个小动物换座位,开始是鼠、猴、兔、猫分别坐1,2,3,4号位子上(如图),第一次前后排动物互换座位,第二次左右列动物互换座位,…,这样交替进行下去,那么第2009次互换座位后,小兔的座位对应的是                (   )

1

2

 
1

2

 
1

2

 
1

2


3

4
 

3

4
 

3

4
 

3

4
开始
 
第一次
 
第二次
 
第三次

A.编号1      B. 编号2      C. 编号3     D. 编号4

试题详情

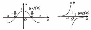
10. 函数f(x)、 g (x)的图像如图:

          

则函数y=f(x)·g(x)的图像可能是:  (   )

试题详情

9.函数,若方程恰有两个不等的实根,则的取值范围为(  )

  A.      B.    C.    D.              

试题详情

8.函数在定义域内可导,若,且当时,,设,则(  )

  A.    B.      C.     D.

试题详情

7.在等差数列中,,则=(   )

  A  -20     B -20.5      C  -21.5        D -22.5      

试题详情

6.下图是函数的图像,它与轴有个不同的公共点.给出下列四个区间之中,存在不能用二分法求出的零点,该零点所在的区间是(  )

  A.   C.          

  B.   D.

试题详情

5.若函数在区间上的最大值是最小值的3倍,则=(  )

  (A)   (B)   (C)   (D)

试题详情


同步练习册答案