0  253460  253468  253474  253478  253484  253486  253490  253496  253498  253504  253510  253514  253516  253520  253526  253528  253534  253538  253540  253544  253546  253550  253552  253554  253555  253556  253558  253559  253560  253562  253564  253568  253570  253574  253576  253580  253586  253588  253594  253598  253600  253604  253610  253616  253618  253624  253628  253630  253636  253640  253646  253654  447090 

9.已知

试题详情

8.求值

试题详情

7.

试题详情

6.

试题详情

5.

试题详情

4.

试题详情

3.比较大小:  <  

试题详情

2.函数的最大值为

试题详情

1.

试题详情

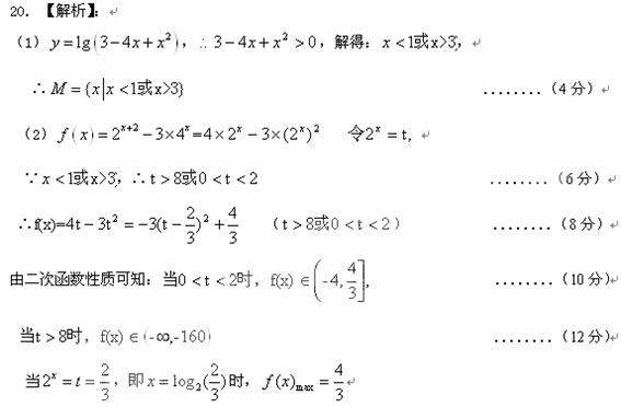
18. [解析]

(1) f ’(x)=-3x2+6x+9         ........(2分)

f ‘(x)<0,解得x<-1或x>3,       ........(4分)

所以f(x)的递减区间为(-∞,-1)和(3,+∞)      ........(6分)

(2)因为f(-2)=8+12-18+a =2+a f(2)=-8+12+18+a =22+a ,  

  所以f(2)>f(-2).                       ........(8分)

因为在(-1,3)上,f ‘(x)>0,所以f(x)在[-1, 2]上单调递增,又由于f(x)在[-2,-1]上单调递减,因此f(2)和f(-1)分别是f(x)在区间[-2,2]上的最大值和最小值,

于是有 22+a=20,解得 a=-2.          ........(11分)

f(x)=-x3+3x2+9x-2,因此f(-1)=1+3-9-2=-7,即函数f(x)在区间[-2,2]   

试题详情


同步练习册答案