0  255368  255376  255382  255386  255392  255394  255398  255404  255406  255412  255418  255422  255424  255428  255434  255436  255442  255446  255448  255452  255454  255458  255460  255462  255463  255464  255466  255467  255468  255470  255472  255476  255478  255482  255484  255488  255494  255496  255502  255506  255508  255512  255518  255524  255526  255532  255536  255538  255544  255548  255554  255562  447090 

12.某烯烃与H2加成后的产物是, 则该烯烃的结构式可能有(   )

   A.1种      B.2种      C.3种        D.4种

试题详情

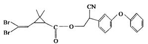
11.拟除虫菊酯是一类高效、低毒、对昆虫具有强烈触杀作用的杀虫剂,其中对光稳定的溴氰菊酯的结构简式如图,下列对该化合物叙述正确的是 (   )        

 

A.属于芳香烃         B.属于卤代烃   

C.在酸性条件下不水解     D.在一定条件下可以发生加成反应

试题详情

10.1体积某气态烃和2体积氯化氢发生加成反应后,最多还能和6体积氯气发生取代反应。由此可以断定原气态烃是(气体体积均在相同条件下测定)   (   )          

A.乙炔      B.丙炔      C.丁炔      D.丁二烯

试题详情

9.有机物              的正确命名为    (   )          

A.2-乙基-3,3-二甲基-4-乙基戊烷     B.3,3-二甲基-4-乙基戊烷

C.3,3,4-三甲基已烷             D.2,3,3-三甲基已烷

试题详情

8.下列化合物属于苯的同系物的是(   )

C.
 
 

A.
 
 

试题详情

7.m mol C2H2n mol H2在密闭容器中反应,当该可逆反应达到平衡时,生成p mol C2H4。将反应后的混合气体完全燃烧,生成CO2和H2O,所需要氧气的物质的是  (   )   

A.(3m+n)mol   B.          C.(3m+n+2p)mol  D.

试题详情

6.一种烃的结构式可以表示为:

 

命名该化合物时, 主链上的碳原子数是(   )

A.9       B.11    C.12      D.13

试题详情

5.下列分子式表示的物质,不具有同分异构体的是   (   )

  A. C3H7Cl    B.C3H6    C. CH2Cl2     D. C4H6

试题详情

4.某有机物在氧气中充分燃烧,生成等物质的量的水和二氧化碳,则该有机物必须满足条件 (  )

   A.分子中的C、H、O的个数比为1:2:3     B.分子中C、H个数比为1:2

   C.该有机物的相对分子质量为14         D.该分子中肯定不含氧元素

试题详情

3.下列属于分离、提纯液态有机物的操作的是               (   )

  A.蒸馏   B.蒸发     C.重结晶      D.过虑

试题详情


同步练习册答案