0  255404  255412  255418  255422  255428  255430  255434  255440  255442  255448  255454  255458  255460  255464  255470  255472  255478  255482  255484  255488  255490  255494  255496  255498  255499  255500  255502  255503  255504  255506  255508  255512  255514  255518  255520  255524  255530  255532  255538  255542  255544  255548  255554  255560  255562  255568  255572  255574  255580  255584  255590  255598  447090 

5.把下列句子组成语意连贯的一段文字,排序最恰当的一项是                (   )

  (1)艺术知识是对已发生过的艺术现象的理性记录,其本身是非艺术的

  (2)因为他所知道的这些东西本身是历史的而非军事的

  (3)但是,艺术修养的根基并不在艺术知识中

  (4)一个有高度艺术修养的人当然会有比较充分的艺术知识

  (5)这正像知道欧洲战争史常识和拿破仑生平的人未必有充分的军事修养

    A.(5)(2)(1)(3)(4)          B.(1)(4)(3)(5)(2)

   C.(4)(3)(1)(5)(2)         D.(5)(2)(3)(4)(1)

试题详情

4.下列各句中,没有语病的一句是                                     (   )

   A.央视借助行政资源得来的公信力,如果不能保证用在服务公众的正确途径上,迟早有一天会随着“广告门”、“侵权门”之类的许多“门”而挥霍殆尽。

B.两千多年前的历史典故和精妙学说仿佛一条精神的河水在课堂之上款款流动,滋润着学生的心田。

C.为了避免鄱阳湖连年枯水、湿地减少、自净能力减弱,江西省希望兴建鄱阳湖水利枢纽走出这一困境。

D.对于部分社会成员之间收入差别悬殊问题,要采取正确政策,保护合法收入,取缔非法收入,调节过高收入。

试题详情

3.下列句中加点词语使用有误的一项是                                 (   )

A.陈奂生一路游街看店,遇上百货公司,就弯进去侦查有没有他想买的帽子。

B.他们在城市社会的最边缘最底层,以最低的收入干最脏最苦最累的活,而且最沉默最隐忍。

C.法律人齐聚首,不单是向这位精神导师致敬,也是坚守理想的同声相应,同气相求

   D.想想自己少年时的淘气捣蛋,又何尝不是母亲眼中催泪的沙子呢?

试题详情

2.下列词语中没有错别字的一项是                                     (   )

   A.博弈          倾轧             形将就木          韬光养晦

   B.炫富           怄气             自顾不暇          树木葱笼

   C.发轫          僭越             气势汹汹          不尽人情

   D.陷阱          撂荒             弱不禁风          克敌制胜

试题详情

1.下列词语中加点的字,读音全都正确的一项是                          (   )

   A.罗(qǐ)    粗(cāo)       不足齿(shù)               如(chuán)大笔

   B.(chèn)托   酒(fáng)     博闻强识(zhì)               洁身自(hào)

   C.(zhòng)风  (1éng)角     令人(zé)舌                怅望低(huái)

   D.(pì)美   (gòng)述      (qī)跷怪事   数见不(xiǎn)

试题详情

12、直线y=x+3与曲线=1( )

A、没有交点 B、只有一个交点 C、有两个交点 D、有三个交点

试题详情

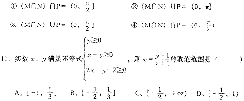
10、已知集合M ={直线的倾斜角},集合N ={两条异面直线所成的角},集合P

   ={直线与平面所成的角},则下列结论中正确的个数为(   )

 

试题详情


同步练习册答案