0  264940  264948  264954  264958  264964  264966  264970  264976  264978  264984  264990  264994  264996  265000  265006  265008  265014  265018  265020  265024  265026  265030  265032  265034  265035  265036  265038  265039  265040  265042  265044  265048  265050  265054  265056  265060  265066  265068  265074  265078  265080  265084  265090  265096  265098  265104  265108  265110  265116  265120  265126  265134  447090 

18.进入21世纪中国经济飞速发展,但随之带来的问题是中国对能源的消耗日益增大。于是,节约能源、提高能源利用率变得尤为重要。但也有人说能量是守恒的,能量不会创生也不会消失,所以节约能源是毫无意义的。热现象过程中不可避免地出现能量耗散现象,所谓能量耗散是指在能量转化的过程中无法把流散的能量重新收集、利用。下列关于能量耗散的说法中正确的是

A.能量耗散说明能量不守恒

B.能量耗散不符合热力学第二定律

C.能量耗散过程中能量仍守恒

D.能量耗散是从能量转化的角度反映出自然界中与热现象有关的宏观过程具有方向性

试题详情

17.人民网西昌2007年10月24日电:24日18时5分,我国在西昌卫星发射中,叠用长征三号甲运载火箭将嫦娥一号卫星成功送人太空。根据设计,嫦娥一号首先将由长征三号甲发射到近地点,卫星到地面最近距离,然后沿椭圆轨道运行到远地点,卫星到地面最远距离万千米(如图所示),才能完成预定的探测任务。设地球半径为,地球表面近地圆轨道卫星的周期为,则卫星从近地点沿椭圆轨道运行到远地点所用的时间为

A.            B.

C.          D.

试题详情

16.如图所示,质量和身高完全相同的两人穿同样的鞋在同一水平地面上通过一轻杆进行顶牛比赛,企图迫使对方后退。设甲、乙两人对杆的推力分别为。甲、乙两人身体因前倾而偏离竖直方向的夹角分别为,已知倾角越大,该人手和杆的端点位置越低,且认为最大静摩擦力等于滑动摩擦力。若甲获胜,则

A.                    B.

C.                    D.

试题详情

15.在平面中有一通电直导线轴相交,导线中的电流如图所示。该区域有匀强磁场,通电直导线所受磁场力的方向与轴的正方向相同。该磁场的磁感应强度的方向可能是

A.沿轴负方向    B.沿轴负方向     C.沿轴正方向    D.沿轴负方向

试题详情

14.一个在某方向上做简谐运动的物体的振动图象如图甲所示,图乙中的纵坐标表示多种可能的物理量。下列关于图乙的判断正确的是

A.图A可作为该物体的速度图象

   B.图B可作为该物体的回复力图象

   C.图C可作为该物体的回复力图象

   D.图D可作为该物体的加速度图象

试题详情

13.将足量的铜屑加入到浓度为的混合溶液中,充分反应后,转移电子的物质的量为

A.     B.     C.      D.

试题详情

12.时,反应物和生成物均为气体的某反应,反应过程中浓度变化如图(Ⅰ)所示。若保持其它条件不变,温度分别为时,B的体积分数与时间的关系如图(Ⅱ)所示,则下列结论正确的是

A.在时间内用B表示该反应的平均速率为:

B.在时,保持其他条件不变,增大压强,平衡向逆反应方向移动

C.在其他条件不变时,升高温度,正、逆反应速率均增大,且A的转化率增大

D.该反应为放热反应

试题详情

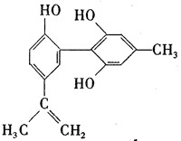
11.我国支持“人文奥运”的重要体现是坚决反对运动员服用兴奋剂。某种兴奋剂的结构简式如图,有关该物质的说法正确的是

A.该分子中的所有碳原子可能共平面

B.遇溶液显紫色,因为该物质与苯酚属同系物

C.滴入酸性溶液,观察紫色褪去,能证明结构中存在碳碳双键

D.该物质分别与溴水和反应时最多消耗分别为 

试题详情

10.下图所示的两个电解槽中,A、B、C、D均为石墨电极。如果电解过程中共有电子通过,下列叙述中正确的是

A.甲烧杯中A极上最多可析出铜

B.甲烧杯中B极上电极反应式为

C.乙烧杯中滴入酚酞试液,D极附近变红

D.乙烧杯中C极上电极反应式为

试题详情

9.下列叙述正确的是

A.纯水的,说明加热可导致水呈酸性

B.的盐酸,与等体积水混合后

C.的醋酸溶液,稀释至10倍后

D.的醋酸溶液,与的氢氧化钠溶液等体积混合后

试题详情


同步练习册答案