0  266333  266341  266347  266351  266357  266359  266363  266369  266371  266377  266383  266387  266389  266393  266399  266401  266407  266411  266413  266417  266419  266423  266425  266427  266428  266429  266431  266432  266433  266435  266437  266441  266443  266447  266449  266453  266459  266461  266467  266471  266473  266477  266483  266489  266491  266497  266501  266503  266509  266513  266519  266527  447090 

10.、如图,在棱长为2的正方体内有一个内切球O,则过棱的中点的直线与球面交点为,则两点间的球面距离为            (   )

    A.            B.          

    C.    D.

第II卷(非选择题 共100分)

试题详情

9.设,…,是1,2,…,的一个排列,把排在的左边且比小的数的个数称为的顺序数().如在排列6,4,5,3,2,1中,5的顺序数为1,3的顺序数为0.则在由1、2、3、4、5、6、7、8这八个数字构成的全排列中,同时满足8的顺序数为2,7的顺序数为3,5的顺序数为3的不同排列的种数为   (   )

    A.48            B.96            C.144           D.192

试题详情

8.已知抛物线与双曲线有相同的焦点,点是两曲线的一个交点,且轴,若为双曲线的一条斜率大于0的渐近线,则的斜率可以在下列给出的某个区间内,该区间可以是     (   )

    A.                     B.      C.      D.

试题详情

7.某企业2010年初贷款万元,年利率为,按复利计算,从2010年末开始,每年末偿还一定金额,计划第5年底还清,则每年应偿还的金额数为(   )万元.                (   )

    A.                   B.

    C.                   D.

试题详情

6.已知随机变量的分布列如下表,则随机变量的方差的最大值为        (   )


0
1
2
P
y
0.4
x

    A.          B.0.6          C        D.

试题详情

5.已知命题:函数的最小正周期是;命题:函数在区间上单调递减,则下面说法正确的是                      (   )

    A.为假                    B.为真

    C.为真                   D.为假

试题详情

2.设为等差数列的前项和,且,则(   )

    A.      B.       C.2008        D.2012

3已知是虚数单位, 复数的共轭复数在复平面内对应点落在第(   )象限.                             (   )

    A.一         B.二         C.三         D.四

4已知向量的夹角为,且,在ABC中,,D为BC边的中点,则                                                (   )

    A.1             B.2         C.3             D.4

试题详情

1.已知集合,且都是全集的子集,则右图韦恩图中阴影部分表示的集合为                                              (   )

    A.

    B.

    C.

    D.

试题详情

34.(9分)下图表示某地区农业生态系统的结构模式图。请据图回答:

  (1)人们通常将大豆和玉米实施套种,大豆和玉米之间的关系为__________。农田中经常发生虫害,若调查该农田某种害虫卵的密度应采用的方法是__________。

  (2)假设该农场能量传递效率为20%,将生产的玉米的1/3作为饲料养鸡,2/3供人食用,生产出的鸡供人食用。现调整为2/3的玉米养鸡,1/3供人食用,生产出的鸡仍供人食用。理论上,该农场供养的人数与原来相比,怎样变化?__________变化比例是多少?__________

  (3)秸秆在沼气池中处理成沼渣后肥效提高,这是因为__________。

  (4)为了提高蔬菜产量,人们通常将蘑菇房与蔬菜大棚相通,原因是  __________。

  (5)该生态系统充分利用了废弃物中能量,形成“无废弃物农业”,遵循了生态工程的______________________________原理。

试题详情

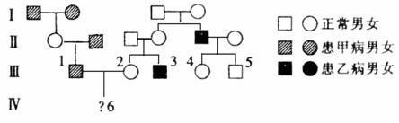
33.(13分)某研究性学习小组的同学对某地区人类的遗传病进行调查。在调查中发现甲种遗传病(简称甲病)发病率较高,往往是代代相传,乙种遗传病(简称乙病)的发病率较低。下表是甲病和乙病在该地区万人中表现情况统计表(甲.乙病均由核基因控制)。请分析回答:

   (1)若要了解甲病和乙病的发病情况,应在人群中__________调查并计算发病率。

  (2)控制甲病的基因最可能位于__________染色体上,控制乙病的基因最可能位于__________染色体上。

  (3)假设被调查群体中患甲病的纯合子为200人,则被调查的人群中显性基因(A)的基因频率是__________%。

  (4)下图是该小组的同学在调查中发现的甲病(基因为A.a).乙病(基因为B.b)的家族系谱图。请据图回答:

①Ⅲ2的基因型是__________。

②如果Ⅳ6是男孩,则该男孩同时患甲病和乙病的概率为__________。

③如果Ⅳ6是女孩,且为乙病的患者,说明Ⅲ1在有性生殖产生配子的过程中发生了

__________。

④现需要从第Ⅲ代个体中取样(血液.皮肤细胞.毛发等)获得乙病致病基因,提供样本的合适个体为__________。

  (5)若要快速检测正常人群中的个体是否携带乙病致病基因,可利用特定的分子探针进行检测,这一方法依据的原理是____________________。

试题详情


同步练习册答案